5位院士,孙世刚、李景虹、李永舫、吴骊珠、John A. Rogers等团队成果速递丨顶刊日报20210920
纳米人
1. Nature Reviews Materials : 基于生物材料的抗菌疗法
抗生素耐药细菌(包括对最后手段抗生素耐药的菌株)的增加,以及抗生素根除生物膜的能力有限,使得开发替代性抗菌疗法成为必要。抗菌生物材料,如聚阳离子聚合物,以及生物材料辅助的非抗生素疗法,如噬菌体、抗菌肽和抗菌酶,提高了我们治疗抗生素耐药和复发性感染的能力。生物材料不仅可以靶向递送多种药物,还可以在感染部位持续释放,从而减少潜在的全身不良反应。
于此,佐治亚理工学院 Andrés J. García等人讨论了以生物材料为基础的非抗生素抗菌疗法治疗社区获得性和医院获得性传染病,重点是体内结果。研究人员强调了基于不同生物材料的翻译策略的潜力,并就其临床转换的挑战提供了一个视角。最后,研究人员讨论了生物材料辅助抗菌治疗的未来范围。
Kalelkar, P.P., Riddick, M. & García, A.J. Biomaterial-based antimicrobial therapies for the treatment of bacterial infections. Nat Rev Mater (2021).
https://doi.org/10.1038/s41578-021-00362-4
2. Chem. Soc. Rev.综述:用于增强电催化的局域表面等离激元共振
现代社会中,电催化在能量转换和储存中起着至关重要的作用。局域表面等离激元共振(LSPR)通过利用太阳能成为提高催化剂电催化活性和选择性的一种极具吸引力的方法。LSPR激发可以诱导超热电子和空穴转移、电磁场增强、晶格加热、共振能量转移和散射,进而促进各种电催化反应。虽然人们已经对LSPR介导的电催化进行了大量研究,但其潜在的机制仍然没有得到很好的解释。此外,其效率也强烈地依赖于等离激元金属的结构和组成。基于此,清华大学李景虹院士,Jian Zhao对各种基于LSPR的纳米结构和电极的工程化进行了综述。
本文要点:
1)为提高所设计材料的活性,研究人员提出了影响其结构的制备工艺和工艺参数。探索等离激元介导电催化的内在机理在现阶段仍是一个挑战,其对等离激元电催化剂的设计具有重要意义。迄今为止,人们已经开发了各种技术来辅助实验和理论计算,以揭示潜在的机制。作者重点研究了用于识别LSPR效应和在原位和原位光谱中区分电化学界面上单个LSPR效应的表征技术,并将LSPR与电化学方法组合。
2)作者从LSPR的电催化机理出发,总结了杂化体系中直接纯等离激元金属驱动电催化和间接等离激元增强电催化的研究,特别是LSPR效应与反应物分子、电催化活性物种和半导体的相互作用。
3)作者最后指出,尽管LSPR介导的电催化方面已经取得了重要进展,但仍需要考虑以下几个影响其未来发展的因素,包括:i)材料设计。除了通过结构/形状设计或合金的协同效应进一步提高现有LSPR电极的活性外,还应努力探索新型的等离激元金属纳米结构;ii)机理研究。需要深入揭示LSPR增强电催化的机理,为等离激元电催化剂的合理设计提供依据;iii)Ag和Cu纳米结构与等离激元Au的不同之处在于它们容易被氧化,在这种情况下,原位还原似乎是合理设计等离激元电催化剂的一种很有前途的选择;iv)开发新的LSPR介导的电化学过程;v)调整反应路径。实验和理论结果表明,热电子的转移和反应路径可以用不同的外加电势和光源来进行调整。
Jian Zhao, et al, Localized surface plasmon resonance for enhanced electrocatalysis, Chem. Soc. Rev., 2021
DOI: 10.1039/d1cs00237f
https://doi.org/10.1039/d1cs00237f
3. Nature Commun.: 16.16%效率, 基于聚合小分子受体的全聚合物太阳能电池
基于聚合小分子受体 (PSMA) 的全聚合物太阳能电池 (all-PSC) 最近取得了重大进展。中科院化学所李永舫院士, Lei Meng, Bo Guan和北卡罗来纳州立大学Harald Ade等人合成了两种基于A-DA'DA小分子受体的PSMA,PS-Se与苯并[c][1,2,5]噻二唑 A'-核心和PN-Se与苯并三唑A'-核心,用于研究分子结构对PSMA光伏性能的影响。
本文要点:
1)这两种PSMA对PN-Se具有广泛的吸收,显示出比 PS-Se 更多的红移吸收和合适的电子能级,适用于以 PBDB-T 作为聚合物供体的全 PSC 中的聚合物受体。
2)低温透射电子显微镜可视化PBDB-T供体和PSMA在其溶液中的聚集行为。此外,通过光致力显微镜可以清楚地观察到PBDB-T:PN-Se共混膜中聚集尺寸为10~20 nm 的双连续互穿网络。PBDB-T:PN-Se 活性层的理想形态使其全 PSC 显示出更高的功率转换效率,为16.16%。
Du, J., Hu, K., Zhang, J. et al. Polymerized small molecular acceptor based all-polymer solar cells with an efficiency of 16.16% via tuning polymer blend morphology by molecular design. Nat. Commun. 12, 5264 (2021).
https://doi.org/10.1038/s41467-021-25638-9
4. EES:纳米几何变形协同Co纳米颗粒和Co-N4复合位点助力质子交换膜燃料电池
Co单原子(CoSA)催化剂的Co-N4部分由于较差的O2活化,通常表现出不理想的氧还原反应(ORR)催化活性。近日,厦门大学孙世刚院士,姜艳霞教授,Jian Yang报道了采用两步法在酸性介质中合成了具有出色ORR性能的Co-N-C电催化剂。
本文要点:
1)首先通过SiO2辅助形状控制构建了催化剂的初步结构,以便将局部纳米结构和介孔率引入催化剂中。随后进行了金属有机气体掺杂处理,形成了CoNP-CoN4复合位点,有效增加了总Co-N4密度。最后,d-(CoNP/CoSA-N-C)催化剂表现为表面呈凹面的立方体,外层有一定的局部曲率和变形。此外,该催化剂还具有足够的CoNP-CoN4复合中心密度和良好的介孔性能。在电化学测试中,其半波电位可达约0.83 V, 同时具有良好的ORR耐久性。
2)理论研究表明,CoNP-CoN4复合位点和变形后的CoN4均能增强O2的活化。此外,CoNP-CoN4复合位点可以抑制H2O2的形成,增强自由基氧的吸附,大大减少碳层侵蚀,以提高催化活性和耐久性。此外,由于催化剂具有较高的介孔结构,因此在活性位上表现出更多的三相边界,从而提高了O2和电荷传输效率。
3)实验结果表明,设计的PEMFC具有出色的功率密度,Pmax-H2-O2接近1.207 W cm-2。因此,这项研究工作所涉及的概念、方法和结论可以为无PGM催化剂的设计和合成提供指导,以实现PEMFC应用的重大改进。此外,为了实现这种低成本、高活性的M-N-C催化剂的最终应用,还需要对燃料电池MEA处的ORR性能进行更深入的研究。
Xiaoyang Cheng, et al, Nano-geometric deformation synergistic Co nanoparticles&Co-N4 composite site for proton exchange membrane fuel cells, Energy Environ. Sci., 2021
DOI: 10.1039/D1EE01715B
https://doi.org/10.1039/D1EE01715B
5. Angew:量子点光催化剂驱动活化四氢呋喃
四氢呋喃(THF)是一种广泛使用的有机试剂,直接对THF分子的C(sp3)-H化学键进行选择性活化非常困难,尤其是在氧化还原中性条件进行催化。有鉴于此,中科院理化技术研究所吴骊珠院士等报道半导体量子点能够通过形成量子点/THF分子共轭配位结构实现活化THF的α-C-H化学键。当量子点光催化剂与THF受到可见光照射,生成烷氧基烷基自由基能够直接与氨基C-H化学键生成的α-氨基自由基进行交叉偶联反应,或者与烯烃、苯乙炔进行自由基加成。以往的方法学通常需要加入化学计量比的氧化剂或者氢原子转移试剂,这种反应在氧化还原中性条件中只通过半导体量子点光催化剂就实现催化活化α-C-H化学键,这个结果为大规模利用THF试剂和将其转化为高附加值化学品提供了可能。
本文要点:
1)反应情况。以THF、有机胺作为反应物,或者THF、端炔作为反应物,CdSe量子点作为光催化剂,实现脱氢偶联反应或者对不饱和双键进行加成。该反应在温和反应条件中进行,实现了THF与有机胺或者氨基酸的α-C进行脱氢偶联反应;或者与色酮或者端炔分子加成。
2)反应机理研究结果发现,量子点光催化剂与THF形成共轭体,从而实现活化THF分子的α-C-H化学键。本文首次实现了THF与其他试剂在未加入氧化剂或者HAT试剂,通过活化两种不同的C-H键,释放一分子H2,实现构建C-C化学键。
该反应具有步骤和原子节约的特点,对广泛的底物兼容,同时表现较高的可见光催化效率,为这种光催化反应在工业界和学术界的发展提供机会,能够用于生物医药、农药等领域以及天然材料、精细化学品等广泛领域的α-取代醚类有机分子。
Jia Qiao, et al, Direct, Site-Selective and Redox-Neutral α-C–H Bond Functionalization of Tetrahydrofurans via Quantum Dots Photocatalysis, Angew. Chem. Int. Ed. 2021
DOI: 10.1021/jacs.1c07076
https://onlinelibrary.wiley.com/doi/abs/10.1002/anie.202109849
6. Angew:碘化物诱导的聚合亲水性氮化碳的碎裂用于高性能准均相光催化H2O2合成
聚合氮化碳(PCN)作为一类双电子氧还原反应(2e- ORR)光催化剂,在H2O2的制备上引起了人们广泛的关注。然而,其2e- ORR的低活性和低选择性极大制约了H2O2的生产效率。近日,河海大学敖燕辉教授报道了利用碘离子作为隐形抑制剂终止PCN聚合(TP-PCN),形成一种准均相光催化体系用于高效生产H2O2。
本文要点:
1)研究发现,TP-PCN具有碎裂和超薄的结构,有助于暴露丰富的边缘活性位点(AEASs(含氰基(-C≡N)和羟基(-OH)基团))。AEASs极大地提高了O2的吸附容量、2e- ORR的选择性和载流子的分离效率。
2)进一步的密度泛函理论(DFT)计算结果显示,AEASs可以增加O2的吸附,降低H2O2的生成能垒。另外,TP-PCN中β自旋轨道的电子可以直接转移到O2的π*轨道上,从而促进O2的活化。
3)实验结果显示,TP-PCN具有显著提高的光催化制H2O2的活性,是PCN的25.4倍。
这些发现为设计具有AEASs的高性能PCN准均相光催化提供了一种新的途径,并揭示了ORR制H2O2过程中O2的活化机理。
Huinan Che, et al, Iodide-Induced Fragmentation of Polymerized Hydrophilic Carbon Nitride for High Performance Quasi-Homogeneous Photocatalytic H2O2 Production, Angew. Chem. Int. Ed., 2021
DOI: 10.1002/anie.202111769
https://doi.org/10.1002/anie.202111769
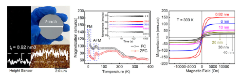
7. Angew:亚纳米厚晶圆尺寸NiO薄膜的室温铁磁行为
由于磁自旋在新型器件(如自旋场效应晶体管)中的潜在应用,在半导体中加入铁磁性(FM)受到了人们广泛关注。然而,在室温以上,使其具有稳定的FM极具挑战性。近日,苏州大学邹贵付教授报道了开发了一种厚度可控至0.92 nm的亚纳米(SN)厚,晶圆尺寸的NiO薄膜。
本文要点:
1)微观结构分析表明,SN NiO薄膜由扁圆形晶粒组成,结合了纳米晶粒的大表面体积比和晶体薄膜的长程晶格有序的优点。而表面晶格缺陷破坏了反铁磁性(AFM)NiO的磁对称性,产生了表面FM行为。此外,长程晶格有序在较高温度(>380 K)下稳定了表面FM行为。
2)实验结果表明,SN NiO薄膜具有饱和磁化强度为157 emu/cc、矫顽力为418 Oe的室温FM行为。同时,SN NiO薄膜可以很容易地转移到柔性基片上。此外,在具有高室温MR比的英寸级MR器件中进一步验证了SN NiO薄膜的室温FM行为。
本研究为制备在未来磁电器件中作为原子层磁性元件的晶圆级FM-NiO薄膜提供了一种SN平台。
Sub-nanometer Thick Wafer-size NiO Films with Room-temperature Ferromagnetic Behavior, Angew. Chem. Int. Ed., 2021
DOI: 10.1002/anie.202110185
https://doi.org/10.1002/anie.202110185
8. Angew:可从淀粉样蛋白-β中去除Cu2+并阻止与AD相关的活性氧形成的水溶性肽螯合剂
淀粉样蛋白-β(Aβ)肽与铜结合以作为活性氧(ROS)形成的催化剂,进而导致与阿尔茨海默病(AD)相关的神经病理降解。目前,利用螯合剂以选择性地从Cu-Aβ中去除Cu是一种有效的治疗策略。这种螯合剂可以与突触间隙中的Zn2+离子(Zn)进行竞争,同时形成无毒的铜络合物。以色列理工学院Galia Maayan和图卢兹大学 Christelle Hureau设计了一种水溶性的拟多肽螯合剂P3,其在有Zn存在的情况下能够选择性地从Cu-Aβ中去除Cu(II),并可在还原环境中阻止ROS的形成。
本文要点:
1)光谱分析表明,尽管P3从Cu,Zn-Aβ中提取Zn的速度比其去除Cu的速度快,但其形成的Zn配合物是一种会发生进一步离解的动力学产物,而CuP3则是唯一稳定的热力学产物。
2)综上所述,具有良好生物利用度肽类螯合剂P3有望发展成为治疗AD的有效候选药物。
Anastasia E. Behar. et al. A Water-Soluble Peptoid Chelator that Can Remove Cu2+ from Amyloid-β and Stop the Formation of Reactive Oxygen Species Associated with Alzheimer’s Disease. Angewandte Chemie International Edition. 2021
DOI: 10.1002/anie.202109758
https://onlinelibrary.wiley.com/doi/10.1002/anie.202109758
9. Angew:h-BN载体上形成的单相Rh2O3纳米粒子用于高度受控的甲烷部分氧化制合成气
在许多催化应用中,人们一直在追求在载体上的形成活性金属氧化物单相,以抑制不希望发生的反应,并确定直接的结构-性能关系。然而,这很难在纳米尺度上实现,在整个催化剂生长过程中,不均匀的金属-载体界面相互作用占主导地位,导致各种亚稳态氧化物的形核。近日,韩国首尔大学Jongheop Yi,Jungwon Park报道了利用h-BN与铑氧化物之间独特的相互作用,成功制备了一种单相刚玉-Rh2O3(I)纳米催化剂。
本文要点:
1)原子分辨透射电子显微镜(TEM)和第一性原理计算相结合显示,在煅烧过程中硝酸铑前驱体分解后,刚玉-Rh2O3(I)的(110)晶面优先附着在h-BN表面。
2)研究人员将所制备的h-BN负载的单相Rh2O3(I)纳米催化剂可用于催化甲烷部分氧化(MPO;CH4+0.5O2↔CO+2H2)这一有效的甲烷转化反应。结果显示,使用Rh/h-BN催化剂,实现了高度控制的MPO工艺,仅从直接路线生产合成气,并保持其优越的催化活性。此外,在化学环化MPO的等温甲烷反应中实现了高CO选择性(~90%),并显著减少了焦炭沉积。
这种可高度控制MPO的单相铑氧化物纳米催化剂可用于H2/CO比为2的合成气生产,其适用于大多数下游化学工艺,如甲醇和费托合成。
Younhwa Kim, et al, Single-phase formation of Rh2O3 nanoparticles on h-BN support for highly controlled methane partial oxidation to syngas, Angew. Chem. Int. Ed., 2021
DOI: 10.1002/anie.202110292
https://doi.org/10.1002/anie.202110292
10. AM:皮肤接触友好的柔性多孔无线生命体征监测系统
对于新生儿和儿科重症监护病房(NICU、PICU),连续监测生命体征是非常基本的要求,尤其是对于极早产儿和/或危重病人而言。目前的技术中通过多个传感器粘在皮肤上,并且通过硬接线接口进行外部数据和电力传输。这导致容易产生医源性脆性损伤,未完全发育的皮肤和连线容易导致诊疗病人的过程非常复杂。有鉴于此,美国西北大学John A. Rogers院士、黄永刚等报道通过材料设计理念优化使用的材料,改善了通过皮肤接触进行生命体征监测的系统。
本文要点:
1)通过使用改进的材料、同时使用开放式布局、预先弯曲的设计结合,实现了多种效果:有效降低皮肤界面上受到的压力、促进经表皮失水产生的水蒸气释放、能够对皮疹或其他刺激性皮肤监测生命体征、有效的降低粘接力,能够降低移除装置过程导致受伤的可能性。
2)通过系统性的测试、理论计算模拟揭示作用机理和关键性问题。在成年志愿者、NICU中的新生儿验证这种系统能够实现连续的医疗级别生命体征监测,展示受试者的身体健康情况。
Sung Soo Kwak, et al, Skin-Integrated Devices with Soft, Holey Architectures for Wireless Physiological Monitoring, With Applications in the Neonatal Intensive Care Unit, Adv. Mater. 2021, 2103974
DOI: 10.1002/adma.202103974
https://onlinelibrary.wiley.com/doi/10.1002/adma.202103974
11. Nano Lett.:具有交联孔的三维共价有机骨架用于实现有效的癌症免疫治疗
武汉大学孙志军教授和邓鹤翔教授设计和合成的一系列三维(3D)共价有机骨架(COFs),并将其作为免疫原性细胞死亡(ICD)诱导剂以实现癌症免疫治疗。
本文要点:
1)实验利用三种无法诱导ICD的模块构建了三种COF,即COF-607,COF-608和COF-609,并发现它们具有出色的ICD诱导效率。机理研究表明,将这些ICD惰性单体连接到COF主链上后可以系统地对这些COF的光学性质进行调节,从而使其具有优异的活性氧(ROS)生成性能。
2)与此同时,COF所具有的类似于肺部结构3D交联孔,非常有利于氧和ROS的交换和扩散,因此其诱导ICD的效果极佳。实验结果表明,COF-609能够在乳腺癌小鼠模型中触发持久的免疫记忆效应,利用COF-609+αCD47治疗110天后,小鼠的存活率可达95%。
Liang Zhang. et al. Three-Dimensional Covalent Organic Frameworks with Cross-Linked Pores for Efficient Cancer Immunotherapy. Nano Letters. 2021
DOI: 10.1021/acs.nanolett.1c02050
https://pubs.acs.org/doi/10.1021/acs.nanolett.1c02050
12. Nano Lett.:骨靶向聚合物囊泡用于有效治疗骨质疏松症
随着人口老龄化的加剧,绝经后骨质疏松症正变得越来越普遍和严重。骨质疏松症引所起的骨折往往会导致永久性残疾甚至死亡。受细胞外囊泡会参与骨重塑过程的启发,同济大学杜建忠教授、贺石生教授和范震研究员构建了一种仿生聚合物囊泡,并将其用于实现骨靶向递送β-雌二醇(E2)。
本文要点:
1)该囊泡由聚(ε-己内酯)28-block-聚[(L-谷氨酸)7-stat-(L-谷氨酸-阿伦膦酸)4](PCL28-b-P[Glu7-stat-(Glu-ADA)4])二嵌段共聚物自组装而成。冠上的阿仑膦酸(ADA)使得该聚合物囊泡具有较高的骨亲和力,并可与E2产生协同作用以增强治疗效果。
2)在去卵巢骨质疏松大鼠模型中,经该聚合物囊泡治疗后的大鼠骨密度恢复率和骨小梁骨密度恢复率分别为70.4%和99.3%,且骨质疏松情况也得到了显著改善。综上所述,这项研究工作为治疗骨质疏松症提供了一个高效的新策略。

Xue Zhou. et al. Bone-Targeting Polymer Vesicles for Effective Therapy of Osteoporosis. Nano Letters. 2021
DOI: 10.1021/acs.nanolett.1c02150
https://pubs.acs.org/doi/10.1021/acs.nanolett.1c02150
版权声明:
本平台根据相关科技期刊文献、教材以及网站编译整理的内容,仅用于对相关科学作品的介绍、评论以及课堂教学或科学研究,不得作为商业用途。