陈平/乔世璋/刘庆华今日Nature Energy!

第一作者:Shi-Kui Geng, Yao Zheng, Shan-Qing Li
通讯作者:陈平,乔世璋,刘庆华
通讯单位:安徽大学,阿德莱德大学,中国科学技术大学
研究背景
电化学尿素氧化反应(UOR)对于一系列与能源相关的应用和器件中具有重要的意义。在大多数情况下,碱性介质中的UOR是一个6电子-质子(或羟基)耦合的转移步骤,CO(NH2)2+6OH−→N2+CO2+5H2O+6e−,平衡电位(E°)为0.37 V(vs.RHE)。UOR可以替代传统的析氧反应(OER),用于在节能型水电解槽中制氢。此外,还可以用作直接尿素燃料电池中的阳极反应。
与OER相比,UOR具有更加迟缓的动力学,因此需要高性能的电催化剂来降低过电位用于高效器件。一开始,人们将一些贵金属催化剂,如Ti-Pt,Ti-Pt-Ir和Ru用于电催化UOR,但由于稀缺性,它们的价格比较昂贵。而近年来发展起来的以镍氢氧化物、氧化物、硫化物、磷化物等为基础的非贵金属UOR电催化剂,又由于高过电位、低电流密度以及较差的稳定性差缺点,催化性能无法满足实际应用要求。此外,已报道的UOR催化剂的稳定性也值得怀疑,目前只有少数催化剂在50 h的连续反应中保持的相对电流密度高于初始值的90%。较差的催化性能可能是由于固有的反应机理所致。具体地说,对于研究最多的Ni基材料,在UOR开始之前,催化剂不可避免地会经历自氧化过程,在表面形成Ni3+态的NiOOH衍生物,然后作为UOR的直接活性中心。在衍生的NiOOH表面上最常见的UOR路径是:*CO(NH)2 → *CO(NH·NH) → *CO(NH·NH) →* CO(NH·N) →* CO(N2) →*CO(OH) + N2 → *CO(OH·OH) →*COO,其中*CON、*CO-NH和*COO是关键中间体。在这个方案下,整个反应的速率决定步骤是最后一个*COO中间体从活性中心解吸,在电解液中形成CO32−。然而,由于Ni3+活性中心与*COO中间体的强结合,该反应机理需要极高的能量(1242.2 kJ mol-1),使得催化剂的活性较低。尽管人们已经开发出了种类繁多、组成和结构不同的催化剂,但大多数催化剂都含有NiOOH物种,这无疑限制了催化剂的活性。
值得注意的是,与具有完善的反应机理和每个反应中间体的良好标度关系的单核OER过程不同的是,作为6e-转移反应,UOR过程可以有更多的替代方案,而不仅仅是报道的NiOOH表面机理。这在其他多电子转移反应中得到了广泛的验证,例如氧气和二氧化碳还原反应,它们都存在多条反应路径。
因此,研究出一种具有替代中间体和更有利的热力学或动力学的新机理有望大大提高UOR电催化剂的活性。
成果简介
近日,安徽大学陈平教授,阿德莱德大学乔世璋教授,中国科技大学刘庆华研究员报道了一种泡沫镍负载的亚铁氰化镍(Ni2Fe(CN)6)催化剂比传统的Ni基催化剂具有更高的UOR催化活性和更出色的稳定性。实验和计算数据表明,尿素的氧化反应途径不同于大多数其他以NiOOH衍生物为催化活性化合物的Ni基催化剂。Ni2Fe(CN)6催化剂能够直接促进两步反应途径,该反应途径包括中间氨的生成(在Ni位上)和它的分解成N2(在Fe位上)。由于不同的控速步骤具有更有利的热/动能,Ni2Fe(CN)6催化剂用于电催化UOR,在1.35 V(相当于0.98 V的过电位)下获得了100 mA cm−2的高阳极电流密度。
要点1 物化特性和UOR性能测试
研究人员采用自组装方法在泡沫镍上制备了一种典型的Ni2Fe(CN)6催化剂,将经过清洗的泡沫镍浸泡在聚乙烯吡咯烷酮、C6H5Na3O7·2H2O、NiCl2·6H2O和K3[Fe(CN)]6的混合溶液中,并采用不同的老化时间和盐浓度。扫描电子显微镜(SEM)图像显示,合成的产物是组装在泡沫镍表面的纳米立方体组成,表面只有一层涂层。透射电子显微镜(TEM)图像显示了一个边缘长度为180±10 nm的高度结晶的立方体纳米颗粒。此外,可以使用不同的反应条件来调节泡沫镍上的纳米立方体的尺寸和覆盖率。Ni2Fe(CN)6粉末的XRD图谱(图1a)分析结果表明,它是一个单一的立方相,其中Fe原子与CN−物种中的碳原子配位,而Ni原子有两种配位形式:一种与CN−物种中的N原子配位,另一种仅位于中心。有趣的是,在一小时的UOR过程中,Fe2+和Ni2+物种都没有被氧化成FeOOH和NiOOH,这与其他Ni基催化剂不同。
选择0.33 M的尿素作为电解液。线性扫描伏安法(LSV)表明,优化的Ni2Fe(CN)6催化剂上的UOR表现出比OER更负的起始电位(图1b)。此外,用于UOR,仅需要1.35V的电位(过电位为0.98 V),即可获得100 mA cm-2的电流密度,远低于OER所需的电位(1.68 V),并且是已知的最低的UOR电催化剂电位之一。Ni2Fe(CN)6电催化剂的高性能归因于其稳定的Ni2+价态,没有生成NiOOH物种。Ni2Fe(CN)6催化剂在自氧化生成高价态的Ni3+物种之前,即可进行电催化UOR(图1b)。为了进一步验证这一观察结果,在UOR测试中获得了原位x射线吸收精细结构(XAFS)光谱,以确定Ni2Fe(CN)6的电子和原子结构。在测试过程中,Ni和Fe的吸收边位置保持不变,接近初始2+价金属的位置(图1 c,d)。有趣的是,其他两种类似氰化物,即亚铁氰化铁(Fe4[Fe(CN)6]3)和钴氰化镍(Ni3[Co(CN)6]2)的活性都比较差(图1e)。动力学研究表明,Ni2Fe(CN)6上的UOR过程与尿素浓度无关(图1f),这与报道的Ni基电催化剂一致。由图1g结果显示,UOR对KOH的用量有很强的依赖性,对OH−浓度的反应级数为1.10,与其他Ni基电催化剂(约为2.00的反应级数)不同。
图1 在三电极电池中研究Ni2Fe(CN)6催化剂上的UOR性能
要点2 与NiC2O4催化剂的比较
作为对照,研究人员制备了一种常规的草酸镍(NiC2O4)催化剂,并将其与Ni2Fe(CN)6进行了对比,通过一系列的原位光谱测量来阐明UOR机理。在Ni2Fe(CN)6的拉曼光谱中,在2100和2140 cm-1处的两个强峰具有氰化物拉伸特征,而在250和348 cm-1处属于Ni-N拉伸振动峰,在510 cm-1处属于Fe-C拉伸振动峰(图2a)。与之对应的是,NiC2O4在UOR过程中,在很短的时间内出现了位于473和560 cm−1处的NiOOH双峰。正如预期的那样,实验结果显示,没有NiOOH物种的Ni2Fe(CN)6表现出比NiC2O4催化剂显著增强的表观UOR活性(图2c)。
图2 Ni2Fe(CN)6与传统NiC2O4催化剂的比较
要点3 DFT计算
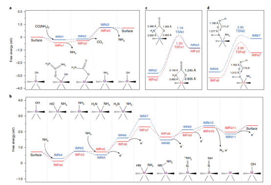
根据以上分析,研究人员提出了Ni2Fe(CN)6用于电催化UOR的机理,它包括两个阶段,即从尿素到NH3(CO(NH2)2+H2O → CO2+2NH3)的化学过程和从NH3到N2(2NH3+6OH− → N2+6H2O+6e−)的电化学过程。第一阶段包括四个步骤,即尿素吸附、脱氨、脱碳和NH3解吸(图3a)。第三个基元反应([M.OCONH2]ads→[M.NH2]ads+CO2)是热力学限制步骤。Ni位点是这一步的最佳催化位点(ΔrG°m=0.9 eV(Ni位)与1.02 eV(Fe位))。在反应动力学方面,Ni和Fe位点的反应活化能ΔG‡表现出相同的趋势(图3c),即Ni位为1.38 eV,而Fe位为1.46 eV。对于第二阶段(图3B),关键步骤是形成IMFe7(或IMNi7)(IM,中间体),脱氢反应[H2N·M·NH2]ads + OH− → [HN·M·NH2]ads + H2O + e−既是热力学限制步骤,也是RDS(图3 b,d)。化学热力学数据表明,Fe位优于Ni位,即ΔrG°m = 0.92 eV (Fe位),高于1.20 eV (Ni位)。活化能表明,Fe位点更容易克服能垒。
研究人员提出总体UOR反应机理,Ni2Fe(CN)6中的Ni负责尿素转化为NH3和CO2,而Fe负责NH3转化为N2。
图3 Ni2Fe(CN)6(011)表面的UOR反应机理图
要点4 NH3检测
根据DFT结果,NH3是UOR过程中的关键反应中间体,可分为尿素到NH3的化学反应和NH3到N2的电化学反应两个阶段。通过离子氨选择电极(ORIO高性能氨电极9512HPBNWP)检测电解液中的氨,研究人员进一步证实了这一机理。在操作电位下,一方面,由于羟基催化中心的增加,NH3的生成速度加快,另一方面,第二阶段的平衡向产物(NH3→N2)移动,这一阶段的反应速度加快(图3a,b)。之后,第一阶段的平衡也向NH3的产物转移,并伴随着NH3的持续消耗。在此期间,一些原位生成的NH3物种从催化剂表面解吸到电解液中,并被离子氨选择电极检测到。与此形成鲜明对比的是,在类似条件下,NiC2O4上NH3浓度变化很小。这意味着NiC2O4表面没有NH3生成,进一步表明了其与Ni2Fe(CN)6催化剂不同的反应途径。为了进一步阐明在Ni2Fe(CN)6上发生化学NH3生成和电化学NH3氧化的两阶段UOR机理,研究人员还测量了不同氨量溶液中Ni2Fe(CN)6上NH3氧化的LSV曲线。结果显示,第一阶段(尿素到NH3)中原位生成的氨可以被电催化氧化成N2的最终产物,这与DFT的预测一致,即在这种情况下,UOR是一个两阶段的过程。因此,研究人员认为,NH3是Ni2Fe(CN)6表面UOR过程的关键反应中间体,这与目前报道的以*NCO、*HN-CO或*CoO为中间体的反应机理存在很大不同。
要点5 中间体识别
研究人员进一步通过原位同步辐射傅立叶变换红外(SR-FTIR)分析来确定DFT计算中提出的关键反应中间体(图4)。对于Ni2Fe(CN)6,与OCP处的光谱相比,在UOR工作电位下,在2925 cm-1和1203 cm-1处出现了两个明显的吸收带,可分别归属于*N=NH2+的N-H伸缩振动和*OCONH2物种的C-O伸缩振动(图4a)。此外,随着电位的增加,这两个特征峰变得更强(图4 c,d)。此外,还对NiC2O4电催化剂(作为对照)进行了分析,以确定不同的反应中间体。
图4 不同条件下催化剂的原位SR-FTIR谱图
要点5 UOR驱动的节能系统
研究人员组装了一台以Ni2Fe(CN)6为阳极的UOR//HER电解槽,电解液中含有1 M KOH和0.33 M尿素。结果显示,为了获得10和100 mA cm-2的电流密度,尿素电解需要1.38和1.50 V的电池电压,而水电解需要1.56和1.85 V的电池电压(图5a)。这清晰突出了Ni2Fe(CN)6电催化剂用于UOR的节能优势。此外,该UOR//HER电解池可稳定生产氢气,法拉第效率超过90%(图5B)。此外,还在一个阴阳极面积为200 cm2的工业电解槽上进行了UOR实验,以进一步展示其在储存可再生能源方面的潜力。除制氢外,该节能系统还可应用于由Ni2Fe(CN)6阳极和介孔碳(CMK-3)阴极组成的UOR//2e- ORR液流电池。实验结果显示,尿素电解只需要比水电解更小的能量输入来分解尿素和生成H2O2(图5c)。其中,在电池电压仅为0.63 V时,H2O2产率为225.3 gm-2 h-1(法拉第效率为82.3%),尿素分解率为140.1 gm-2 h-1(法拉第效率为94.9%)。
图5 UOR替代OER用于H2和H2O2节能系统
小结
1)采用一种简单且易于扩展的方法制备了具有高超活性的Ni2Fe(CN)6。其稳定性优于其他镍基UOR电催化剂,最终转化为氢氧化镍衍生物需要较长时间(超过6 h)。
2)利用先进的原位拉曼光谱、原位SR-FTIR技术和氨检测技术研究了Ni2Fe(CN)6的机理,与大多数报道的电催化剂相比,Ni2Fe(CN)6上具有更有利的UOR反应路径更有利。
3)DFT结果表明,Ni2Fe(CN)6中Ni和Fe双活性位点的协同作用显著提高了其电化学性能。
4)Ni2Fe(CN)6的高效UOR与传统的OER相比,具有能耗低、降低废水尿素含量的优点。
本研究为开发具有较高活性和稳定性的UORs电催化剂开辟了新的途径。
Geng, SK., Zheng, Y., Li, SQ. et al. Nickel ferrocyanide as a high-performance urea oxidation electrocatalyst. Nat Energy 6, 904–912 (2021)
DOI:10.1038/s41560-021-00899-2
https://doi-org/10.1038/s41560-021-00899-2
版权声明:
本平台根据相关科技期刊文献、教材以及网站编译整理的内容,仅用于对相关科学作品的介绍、评论以及课堂教学或科学研究,不得作为商业用途。