纳米人

Nature Reviews Chemistry:生物医学材料-丝素蛋白!

Natt
2023-05-05


塔夫茨大学David L. Kaplan、Jugal Kishore Sahoo等人Nature Reviews Chemistry上对丝素蛋白化学和生物医学材料设计进行综述。


图片


丝素蛋白在组织工程、再生医学、药物输送和医疗器械等不同医学领域都有应用。丝素蛋白化学和生物材料设计的进步为产生新的丝素蛋白基材料和技术提供了令人兴奋的工具。选择性化学可以增强或调整丝素蛋白的特性,如力学、生物降解性、可加工性和生物相互作用,以应对医学相关材料(水凝胶、薄膜、海绵和纤维)的挑战。


本文详细介绍了用于不同应用的丝素蛋白生物材料的设计和实用性,特别关注化学。这篇综述由三个部分组成:丝蛋白基本原理、丝素蛋白化学和功能化机制。


随后描述了促进网络形成的不同交联化学物质,包括复合生物材料的形成。重点介绍了在组织工程、药物递送、3D打印、细胞涂层、微流体和生物传感器领域的应用。展望未来,作者将讨论丝素蛋白生物材料的设计策略,以继续改善医疗效果。


图片

图|丝素蛋白的分级结构,氨基酸组成和加工条件


图片

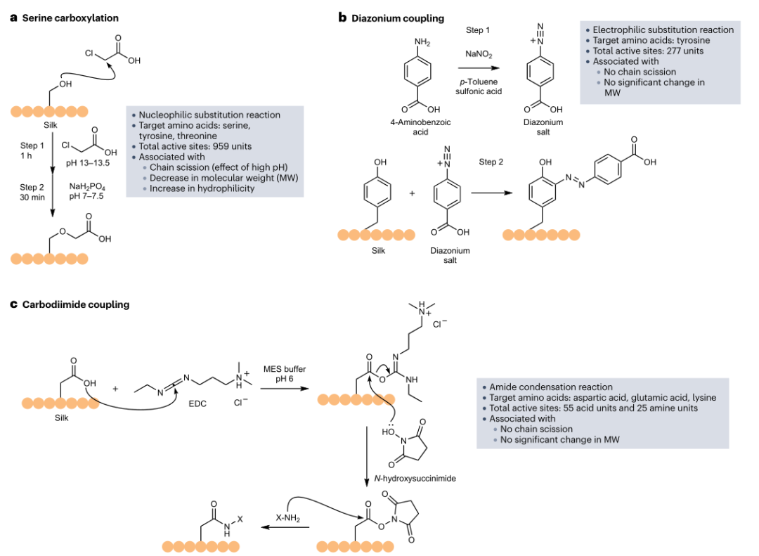
图|不同的化学改性方法使丝素蛋白功能化


图片

图|丝素蛋白凝胶化和不同的交联方法


图片

图|化学在丝素蛋白材料和装置中对生物应用的作用


图片

图|不同化学和生物医学应用的示意图


参考文献:

Sahoo, J.K., Hasturk, O., Falcucci, T. et al. Silk chemistry and biomedical material designs. Nat Rev Chem (2023).

https://doi.org/10.1038/s41570-023-00486-x




版权声明:

本平台根据相关科技期刊文献、教材以及网站编译整理的内容,仅用于对相关科学作品的介绍、评论以及课堂教学或科学研究,不得作为商业用途。

万言堂

纳米人 见微知著