纳米人

华东师范大学/四川大学,Nature Chemistry!

米测MeLab
2024-03-27


图片

第一作者:张正

通讯作者:周剑、周锋、王欣

通讯作者单位:华东师范大学、四川大学

均相催化与酶催化QQ群:871976131

合成手性α-三取代有机胺以及氮杂环有机胺是合成药物分子的重要方法,目前人们虽然在不对称构筑氮的季碳立体中心位点得到进展,但是合成含有多个取代基的α-三取代有机胺仍非常困难。立体富集的双取代α-乙炔胺是作为构筑手性α-三取代有机胺和氮杂环有机胺的重要合成子,但是人们仍需要开发合成这种结构的方法。
有鉴于此,华东师范大学周剑、周锋、四川大学王欣等发展了一种立体选择性不对称Cu(I)催化反应,能够对炔基碳酸酯进行立体选择性的炔丙基氨基化,生成α-二烷基化乙炔胺或α-烷基-α-芳基乙炔胺。
图片

反应情况

该反应方法需要使用立体位阻效应的PYBOX配体(吡啶双恶唑啉,pyridinebisoxazoline),这种配体的C4位点具有屏蔽官能团,而且配体具有接力官能团,因此表现优异的立体选择性。
图片
配体的结构设计
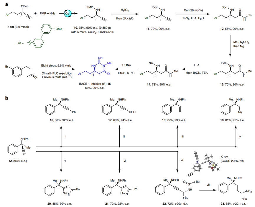
考察方法学的底物兼容。这种合成方法能够对脂肪酮或者含有芳基的酮的丙炔碳酸脂具有很好的兼容性,能够以较好或优异的产率和e.e.立体选择性生成α-乙炔胺。作者通过含有多功能的溴苯基碳酸酯取代基的底物进行考察,这种多功能取代基能够进一步通过后续的交叉偶联反应构筑氮杂环结构,结果显示很好的兼容。此外,这种方法学能够用于合成α-芳基-α-三取代乙炔胺。
合成应用的前景
图片
合成的应用
作者通过这种方法合成了一系列具有应用前景的乙炔胺化合物和氮杂环化合物,包括2,5-二氢吡咯、二氢喹啉、二氢苯并喹啉、二氢喹啉并[12-α]喹啉。而且作者展示了将这种合成方法学应用于β分泌酶抑制剂(β-secretase inhibitor)的全合成(β分泌酶,又名β-位点淀粉样前体蛋白裂解酶,是一种蛋白酶,在形成周围神经细胞轴突髓鞘的过程中具有重要作用)。此外,这种合成方法能够对炔丙基取代O-亲核试剂、C-亲核试剂,这进一步说明PYBOX配体的重要作用。

机理研究

通过DFT理论计算研究PYBOX配体的C4位苄氧基(benzyloxy)以及苯基传导官能团起到的增强立体选择性作用。结果表明,C4位苄氧基和噁唑啉上手性传导基团有助于形成空间受限的过渡态结构,因此底物和配体之间的π-π相互作用和空间排斥作用更为显著,从而取得更好的立体选择性控制。
图片
机理研究
参考文献及原文链接
Zhang, Z., Sun, Y., Gong, Y.et al. Enantioselective propargylic amination and related tandem sequences to α-tertiary ethynylamines and azacycles. Nat. Chem. (2024)
DOI: 10.1038/s41557-024-01479-z
https://www.nature.com/articles/s41557-024-01479-z




版权声明:

本平台根据相关科技期刊文献、教材以及网站编译整理的内容,仅用于对相关科学作品的介绍、评论以及课堂教学或科学研究,不得作为商业用途。

万言堂

纳米人 见微知著