晶体管!牛津大学Nature Nanotechnology!
纳米人
2024-03-27


量子隧穿是先进集成电路性能提升和进一步小型化的最大障碍,常规策略是使用复杂的器件结构来缓解各种量子效应,该策略在现技术节点已遇到瓶颈。理论研究预测了一种截然相反的策略:将不可避免的量子效应加以利用,来提高器件性能和降低能耗。然而,该全新策略需要使用两条量子相干的导电通道产生的相消量子干涉来完全抑制隧穿电流,而这在体相块材半导体材料中是无法实现的,因为散射效应和缺陷会导致电子失去相干性。对此,牛津大学Zhixin Chen、Harry Anderson,兰卡斯特大学Colin Lambert,伦敦大学皇后玛丽学院James Thomas等使用单分子结合石墨烯电极构筑了类CMOS结构的单分子场效应晶体管,成功在其中构筑了两条具有量子干涉的导电通道,实现性能的大幅提升,证明了量子效应实际上可以是集成电路进一步小型化的帮手,而不是障碍。
研究亮点
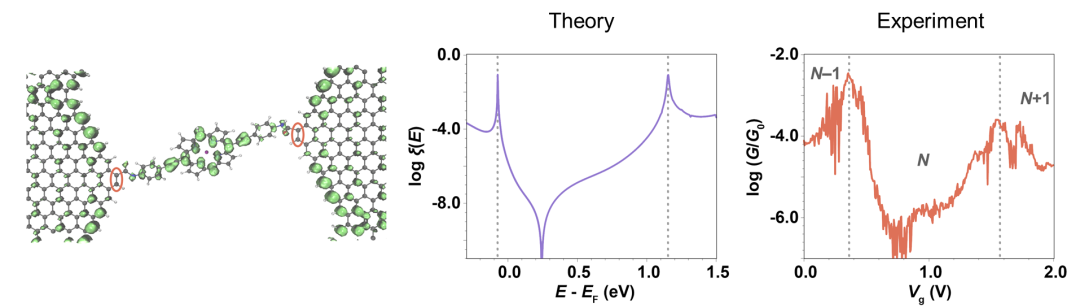
1、证明了量子干涉效应可用于增强纳米尺度晶体管的性能2、实现了像CMOS一样高效工作的单分子场效应晶体管。隧穿场效应晶体管(TFETs)和单分子晶体管(SMTs)是一类特殊的纳米尺寸量子电子器件,在常规先进集成电路中被认为有害的量子隧穿效应,反而是这类纳米器件中最重要电子输运形式。量子干涉(QI)是在纳米尺度电输运中发现的量子效应。由于微观电子具有波粒二象性,波动性意味着电子可以像光波一样发生干涉,即量子干涉。由于QI可以从根源完全抑制量子隧穿,因而理论上可以用于增强晶体管的性能。然而,在常规的块材体相半导体晶体管中,要构筑两个能产生QI的导电通道是极其困难的,因为其中的散射效应和缺陷位会导致电子快速地失去相干性。理论研究预测了一种全新的途径:在单分子中引入不同分子轨道间的量子干涉,以此来构筑单分子晶体管。为了验证这个假设需要针对QI对单分子晶体管性能的影响进行全面的实验研究。 先前研究表明,相消量子干涉(DQI)可以被电化学门控控制,从而实现超过100倍的开关比,以及数次的开关循环。然而,电化学门控技术具有响应较慢的问题,且高度依赖电解质溶液环境,与现有集成电路工作环境并不兼容。本论文作者科研团队早先发明了使用石墨烯作为源漏极构筑单分子晶体管的技术,使得引入与现有CMOS晶体管集成电路高度兼容的静电门控成为可能,并且可以在单分子器件中对QI进行测量。另外, 石墨烯态密度与分子轨道耦合后产生的新量子效应可用于进一步增强器件性能。为探索在纳米电子器件中使用QI的可能,研究团队使用具有窄HOMO-LUMO能隙(对应体相半导体的窄带隙)的锌卟啉分子核心,在相对的(5,15)meso位分别连接4-乙炔基苯胺基态,来与石墨烯边缘的羧基通过酰胺缩合反应形成共价键联,如图1左所示。该分子长度在2.5nm左右。该电极-分子-电极形成的三明治结构一般称为“分子结”。在该研究中分子结被集成到具有源(Source)、漏(Drain)、栅(Gate)三电极的场效应晶体管结构中,如图1右所示。原子级精确的分子结构允许研究者使用密度泛函理论(DFT)结合量子输运理论来预测器件的性质。理论计算的结果表明分子-石墨烯界面处出现局部态密度零点(图2左),意味着相消量子干涉(DQI)的存在。进一步计算电子透射概率与能量的关系(透射函数谱图,图2中)可见在+0.25eV左右有一尖锐的反共振信号,是DQI的典型特征。该理论结果预测了该单分子晶体管中DQI的存在,因而作者进一步进行了实验测试。因为器件的电导与对应能量下的透射概率成正比,而栅压则可以控制器件的能级,因而电导-栅压曲线一般与透射谱图费米能级附近的区域会有一定的对应关系,测试电导与栅压的关系可以直观的展示量子干涉现象。图2右展示了实验测得的电导-栅压曲线,其展现了一个与理论计算相符的反共振信号,证实了DQI的存在。 图2. 左:分子-电极界面产生局部态密度零点(红圈);中:理论计算的透射函数谱图;右:实验测得的零偏压(Vsd=0)下的电导(G)-栅压(Vg)关系曲线(在80K温度下测得),图中N表示分子的中性态具有N个电子,N-1和N+1分别表示分子的单电子氧化和单电子还原态。作者进一步在不同温度下对DQI的信号进行了二维完整测绘(图3),其中在10K的温度下观测到了与光的干涉类似的明暗相间的电子干涉条纹,进一步证明了电子波动性输运(一般称为“相干输运”)的特征(单分子器件中电子的干涉条纹相关文章参见:Phase-Coherent Charge Transport through a Porphyrin Nanoribbon. J. Am. Chem. Soc. 2023, 145, 28, 15265–15274)。图3. 使用电导(G)-栅压(Vg)-偏压(Vsd)二维关系图对量子干涉进行完整测绘。(图4左)展示了在+20mV的源漏极偏压下该晶体管的电流-栅压关系曲线。电导-栅压曲线中的反共振信号附近器件导电性被DQI显著抑制,对应电流的最小值,可被用作晶体管的关闭态(OFF);而分子单电子氧化和中性态间切换(N-1/N)的输运(即通过分子HOMO的共振隧穿)可被用作晶体管的开启态(ON),如图4右所示,由此获得了晶体管的开关态。 图4. 左:Vsd=+20mV下电流(I)-栅压(Vg)关系曲线;右:量子干涉晶体管开关原理图。(图5左)展示了该单分子晶体管的二维电流-栅压-偏压关系图。作者基于此关系图,使用CMOS晶体管的表征方式,分别测量了该单分子晶体管的输出特性曲线(图5中)和转移特性曲线(图5右)。图5. 左:二维电流(I)-栅压(Vg)-偏压(Vsd)关系图,绿点和红点分别与图4左的ON、OFF标记位置对应;中:输出特性曲线;右: 转移特性曲线。作者进一步测试了该单分子晶体管在不同温度下的性能表现,发现在测试温度区间内晶体管的亚阈值摆幅(subthreshold swing,Ss-th)均达到了热电子极限(thermionic limit,CMOS晶体管的理论极限,通过公式Ss-th=(KT/q)ln10算得,300K下约为60mV/dec),开关比可达 10,000数量级 ,开关频率>7 kHz(注:作者强调该频率受限于所用电流放大器带宽,实际可达到的频率应远高于此值),以及>100,000 次开关循环性能稳定无任何衰减。图5. 左:二开关比与温度的关系;中:亚阈值摆幅(Ss-th)与温度的关系;右: 量子干涉提高亚阈值摆幅性能的原理。 该研究证明了量子干涉效应可以显著增强单分子晶体管的性能,为未来集成电路晶体管的设计和发展提供了一个全新的策略,即将无法避免的量子效应加以利用,用于增强器件性能。如果善加利用,量子效应实际上可以是集成电路进一步小型化的帮手,而不是障碍。另外,该工作证明了单分子晶体管可以像真实CMOS晶体管一样高效工作,证实了纳米科学细分研究领域——分子电子学创立的初衷:使用分子构筑基本电子元件以构筑集成电路是可行的。Chen, Z.; Grace, I. M.; S. L. Woltering et. al. Quantum Interference Enhances the Performance of Single-Molecule Transistors. Nat. Nanotechnol. (2024) DOI: 10.1038/s41565-024-01633-1https://www.nature.com/articles/s41565-024-01633-1https://www.nature.com/articles/s41565-024-01634-0