余金权,第11篇Nature!
纳米技术
2024-04-01

第一作者:Shupeng Zhou, Zi-Jun Zhang
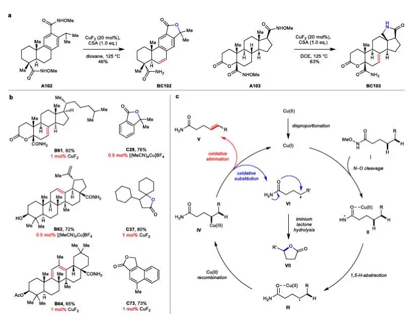
余金权教授已发表300多篇文章,其中10篇Nature,11篇Science,并获得了2016年麦克阿瑟天才奖,被称为“C-H键活化领域第一人”。近日,他在Nature上发表了第11篇文章,供大家参考和学习。细胞色素酶(Cytochrome P450)是广为认识的双模式氧化(bimodal oxidation)催化剂,其能够将脂肪酸通过自由基中间体过程氧化,并且通过羟基化路径或去饱和化路径进行反应。但是发展能够对远程C–H化学键官能团化的类似催化体系具有非常大的挑战和困难。 有鉴于此,斯克利普斯(Scripps)研究所余金权院士等发展了双模式Cu(I)催化体系,该体系对γ-C–H化学键通过自由基捕获方式生成甲氧基酰胺,随后能够得到脱氢/内酯化双模式产物,通过改变反应条件能够将反应路径从脱氢转变为内酯化。该反应使用容易得到的酰胺起到双功能,作为自由基前驱分子和氧化剂。该反应体系实现了一种整体表现为氧化还原中性的C–H键官能团化,而且唯一的副产物是甲醇。该反应使用的Cu(I)催化剂的用量仅为0.5 mol %,额日期额能够对广泛的脂肪酸进行衍生化,反应物包括药物以及天然产物。该催化反应体系表现了优异的兼容性,对大量的氧化敏感官能团都能够兼容,从而说明酰胺作为氧化剂的优势。作者基于Cu(I)能够从活化肟酯(oxime esters)中生成亚胺基自由基,并且随后与烯烃进行成环反应。因此作者认为Cu(I)有可能还原N-甲氧基酰胺并生成酰胺自由基。这种还原方法能够使用甲氧基作为绿色的分子内氧化剂,而且避免使用光催化剂,避免使用容易导致过氧化的外源性氧化剂。生成的酰胺自由基能够通过1,5-H原子转移生成γ-C中心自由基IV。当IV自由基与Cu(I)结合后,能够通过氧化消除生成脱氢产物(V变成II,path A),也能够发生path B经由氧化取代反应生成内酯产物III。 在两种不同的反应路径中,Cu(I)物种都是可再生的,从而通过Cu(I)的重新生成完成氧化还原中性的催化反应循环。而且该体系唯一的副产物是MeOH(或者内酯化反应所需的铵盐)。通过这种设计的反应,能够将广泛存在的羧酸快速转化为具有价值的内酯或不饱和一级酰胺,而且生成的酰胺能够进一步衍生化得到更多有价值的产物。优化反应条件。使用10 mol % CuF2作为催化剂,20 mol % 8-甲氧基喹啉作为配体,1,4-二氧六环或二氯乙烷溶剂,并加入乙酸添加剂。在这个反应条件下,得到70 %的产率。底物兼容性。该反应对惰性γ-C-H键(A1-A8)、苄基γ-C-H键(A9-A25)具有反应活性,能够以较好的产率生成烯烃。当δ-位点被阻挡时,反应主要生成β,γ-烯烃。含有γ-次甲基的N-甲氧基酰胺同样是非常合适的底物(B26-B38)。官能团兼容(脱氢反应)。该反应具有广泛的官能团容忍性,包括烷基酯(B3, B6, B28)、烯烃(B2, B20, B26)、炔烃(B21)、酯/硫酯(B10, B22, B24, B25)、氨基甲酸酯(B19)、杂环化合物(B11, B22, B23)、芳基卤化物(B13, B14, B18)、硼酸酯(B15)。官能团兼容性显示该反应体系兼容大量的氧化环境敏感的官能团,这说明酰胺底物作为温和的分子内氧化剂具有比外源性氧化剂更显著的优势。 复杂结构分子、天然产物的兼容性(脱氢反应)。该反应对一系列α-,β-,γ-氨基酸衍生物兼容(B39-B50),对含有甲氧基酰胺结构的天然产物和药物活性分子兼容。调节反应从脱氢路径变为内酯化反应。作者通过一系列实验考察,优化内酯化反应条件。发现二氯乙烷有助于阻碍内酯的形成,通过使用酸性更强的三氟乙酸替代乙酸,有助于提高内酯产物的产率。发现使用二氧六环溶剂,并使用三氟乙酸,具有比较好的内酯产物选择性。对于含有惰性γ-亚甲基的底物,使用二样硫化/硝基甲烷混合溶剂,加入[(CH3CN)4Cu]BF4作为催化剂,表现最好的内酯化反应效果。底物兼容性。对于含有三级γ-C-H键或苄基C-H键的底物(C27-C29, C35, C37, C38, C48),能够很好的在脱氢反应和内酯化反应之间调控,含有不饱和γ-亚甲基的惰性脂肪酸和氨基酸(C43, C51)同样能够得到很好的内酯化反应效果(但是仍有一些脱氢产物能够发现)。基于实验表征并且参考相关文献,提出脱氢/内酯化的双模式反应机理。首先通过原位生成的Cu(I)诱导N-O化学键的还原切断开启反应,随后生成酰胺基自由基II以及Cu(II)物种。II随后通过1,5-H转移生成烷基自由基III,随后III与Cu(II)结合生成烷基铜(III)中间体IV。生成IV中间体后,反应产生两种反应路径。烷基铜(III)能够发生氧化消除反应生成烯烃V;在极性更强的环境(极性溶剂和酸性添加剂),消除反应受到阻碍,同时能够生成碳阳离子中间体VI,通过捕获VI以及随后的亚胺水解反应生成内酯VII。
总结
这项工作发展了Cu催化脱氢/内酯化双模式反应,该反应在氧化还原中性环境下进行,能够从广泛的羧酸原料(作为N-甲氧基酰胺的前体)出发得到γ,δ-不饱和烯烃或γ-内酯。脱氢或内酯化反应都能够用于药物分子和天然产物分子的衍生化。Zhou, S., Zhang, ZJ. & Yu, JQ. Copper-catalyzed dehydrogenation or lactonization of C(sp3)−H bonds. Nature (2024)DOI: 10.1038/s41586-024-07341-zhttps://www.nature.com/articles/s41586-024-07341-z