纳米人

分子筛,又一篇Nature!

米测MeLab
2024-04-10


图片

特别说明:本文由米测技术中心原创撰写,旨在分享相关科研知识。因学识有限,难免有所疏漏和错误,请读者批判性阅读,也恳请大方之家批评指正。

原创丨彤心未泯(米测 技术中心)

编辑丨风云


研究背景

通过12个以上四面体的环打开的稳定铝硅酸盐沸石分子筛具有超大孔,可用于处理比目前沸石材料中可处理的更大的分子。


关键问题

然而,超大孔沸石分子筛的研究仍存在以下问题:

1、超大孔沸石分子筛的可控制备是个巨大挑战

尽管大孔径沸石分子筛在处理大分子材料应用中展现了广阔的前景,但直到最近,超大孔沸石分子筛的高稳定性、可控制备是个巨大挑战。

2、复杂链硅酸盐沸石分子筛前驱体缩合成超大孔ZEO-3沸石分子筛提供了研究基础

作者前期报道了一个复杂链状硅酸盐沸石前驱体(ZEO-2)在超大孔ZEO-3沸石中发生一维到三维(1D到3D)拓扑缩合的案例,为超大孔沸石分子筛的制备奠定了基础。


新思路

有鉴于此,马德里材料科学研究所Miguel A. Camblor、吉林大学于吉红院士、华东师范大学吴鹏及南京大学黎建等人报告了一种策略,通过使用插入的甲硅烷基化剂来分离和连接链,从而膨胀一维硅酸盐链,产生热和水热稳定的硅酸盐。获得了沿三个结晶方向由20、16和16 Si四面体界定的超大孔的沸石分子筛。制成的链间膨胀沸石含有悬挂的Si-CH3基团,通过煅烧,这些基团相互连接,从而形成真正的、完全连接的(除了可能的缺陷)具有非常低密度的三维沸石骨架。此外,它还具有在任何类型的沸石中都未曾见过的三重四环单元。本文报道的硅酸盐膨胀-冷凝方法可能适合进一步形成超大孔沸石。Ti可以引入到该分子筛中,导致催化剂在涉及大分子的液相烯烃氧化中具有活性,这在使用异丙苯过氧化氢作为氧化剂的环氧丙烷的工业相关清洁生产中显示出前景。    


技术方案:

1、阐明了ZEO-5的制备过程及结构表征

作者通过链间扩展反应产生了新的沸石结构,结构表明ZEO-5包含两个稠合的双四环单元,并详细表征了ZEO-5的微观结构。

2、表征了ZEO-5 特性    

作者表明ZEO-5具有破记录的大孔结构,且具有出色的稳定性,新型ZEO-5沸石保持着低骨架密度二氧化硅多晶型物的记录。

3、通过杂原子和催化的引入获得了性能优异的含Ti催化剂

作者通过TiCl4蒸气处理在ZEO-5中引入了Ti原子,并在使用H2O2和叔丁基过氧化氢 (TBHP) 作为氧化剂的环辛烯环氧化反应中,获得了优异的性能。


技术优势:

1、通过链间膨胀获得了超大孔沸石分子筛

通过使用插入的甲硅烷基化剂来分离和连接链,在链之间插入了硅原子,链间扩展反应产生了新的沸石结构,获得了超大孔的沸石

2、获得了在任何类型的沸石分子筛中都未曾见过的三重四环单元

通过链间膨胀沸石悬挂的Si-CH3基团相互连接,形成了具有非常低密度的三维沸石骨架,还具有在任何类型的沸石中都未曾见过的三重四环单元。


技术细节

ZEO-5的制备及结构

作者在链之间插入了硅原子,链间扩展反应产生了新的沸石结构。在ZEO-2链之间引入硅的反应是在酸性乙醇溶液中使用二甲基二氯硅烷或2,4,6,8-四甲基环四硅氧烷进行的。每个分子包含四个 Si,每个Si角有甲基和 H 取代基的单个四环。该反应导致新的硅原子插入相邻的链之间,将它们连接在一起形成新的稳定的结晶沸石。29Si MAS NMR 谱证明了两种材料中都插入了硅烷化剂,所有有机结构导向剂已从沸石中去除。ZEO-4的两种变体的煅烧都会去除甲硅烷基化剂中的甲基,并缩合相邻的Si-OH基团,以产生新引入的Si原子的完全连接,从而形成新的沸石 ZEO-5。通过建模,表明ZEO-5包含两个稠合的双四环单元,称之为三重四环(t4r),这在沸石中从未见过。通过密度泛函理论优化了ZEO-5,并计算了每个Si位点的29Si化学位移,与实验结果具有良好的对应性。    

图片

图  ZEO-4A、ZEO-4B和ZEO-5的制备和结构


ZEO-5 特性    

由于这些t4r单元的形成,ZEO-5中的20环孔不再是四叶形,而是通过菱形、马鞍形窗口打开,没有突出的障碍物,并且间隙更宽。这种尺寸的孔径在稳定的二氧化硅沸石中是前所未有的。尽管ZEO-5具有非常开放的框架,但它表现出出色的稳定性,使其能够承受至少1,000°C的煅烧,并在10% H2O下至少760°C的蒸煮3小时。新型ZEO-5沸石保持着低骨架密度二氧化硅多晶型物的记录,每 1nm3 含有11.07 Si 原子,远低于之前的记录保持者 ZEO-3(,骨架密度为12.76 Si nm−3。由于其非常开放的框架,ZEO-5与任何报道的沸石相比具有独特的结构特性,ZEO-5A和ZEO-5B的BET表面积分别达到破纪录的值1,533和1,832 m2  g−1,其微孔体积也是如此(0.40或0.38 cm3  g−1),这使得 ZEO-5 比之前报道的沸石能够吸附更多的甲苯。

图片

图  ZEO-4和ZEO-5的表征


杂原子和催化的引入    

作者通过TiCl4蒸气处理在ZEO-5中引入了Ti原子,并在使用H2O2和叔丁基过氧化氢 (TBHP) 作为氧化剂的环辛烯环氧化反应中,将所得Ti-ZEO-5与标准3D大(12 环)孔 Ti-沸石催化剂 Ti-Beta 的性能进行了比较。由于更好的环辛烯扩散,ZEO-5提供了稍高的Ti固有活性(周转数)。当使用较大的TBHP时,超大孔Ti-ZEO-5表现出比Ti-Beta更好的性能,因为它更容易沿着超大孔扩散。更重要的是,Ti-ZEO-5 是一种很有前景的催化剂,可用于工业相关的环氧丙烷(PO)清洁生产,通过丙烯与氢过氧化枯烯(CHP)作为氧化剂进行环氧化。Ti-ZEO-5由于其结晶性质、类似于介孔的超大孔隙率以及改进的水热稳定性,表现出优于Ti-六方介孔二氧化硅(Ti-HMS)的优越性。

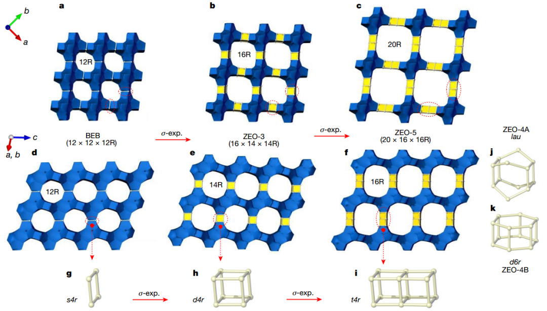
图片

图  通过 σ 膨胀产生超大孔隙


展望

总之,通过使用插入的甲硅烷基化剂来分离和连接链,获得了超大孔的沸石分子筛。所制备的沸石分子筛具有非常低密度的三维沸石骨架和前所未有的三重四环单元。通过杂原子引入,演示了超大孔分子筛在液相烯烃氧化等工业催化领域的应用。

   

参考文献:

Gao, Z.R., Yu, H., Chen, FJ. et al. Interchain-expanded extra-large-pore zeolites. Nature (2024). 

https://doi.org/10.1038/s41586-024-07194-6



版权声明:

本平台根据相关科技期刊文献、教材以及网站编译整理的内容,仅用于对相关科学作品的介绍、评论以及课堂教学或科学研究,不得作为商业用途。

万言堂

纳米人 见微知著