纳米人

回国12年!他,再发Science!

米测MeLab
2024-04-11


图片

热电材料因其能够实现直接将热能转换为电能的特性而备受科学家们的关注。然而,研究人员们发现,热电材料的性能提升面临着诸多挑战,尤其是在电传输和热传输性质之间紧密相连的情况下,使得独立调节各项参数变得十分困难。热电材料的性能主要由其维度无量纲性能因子zT所决定,而zT又由电导率、Seebeck系数、热导率和温度等多个参数共同决定。然而,很多时候这些参数之间存在着紧密的耦合关系,因此单独调节其中一个参数可能会影响到其他参数的表现,从而影响整体性能。这使得研究人员们在提升热电材料性能时面临巨大的挑战。

为了解决这一问题,先前研究发现了一个重要的策略是构建纳米结构,通过在材料中引入纳米尺度次生相,有效地增强了对热载声子的散射,从而降低了热导率,而不严重影响其他热电参数。然而,要精确设计纳米结构的大小和种类并非易事,否则可能会导致应变积累和材料损伤。另一个重要的策略是动态调控载流子浓度,使其在不同温度下接近最佳浓度,从而实现在各个温度下获得最大的zT值。然而,过去的研究中往往存在着载流子浓度调控不够精确的问题,导致了性能的不稳定性。

为了克服以上问题,南方科技大学物理系何佳清教授课题组提出了一种新的方法,即在p型铅碲基材料中实现了赝纳米结构的构建和动态载流子调控的联合策略。他们通过引入特定的掺杂元素,使材料中形成了空位团簇的纳米结构,并通过特殊的掺杂机制实现了载流子浓度的动态调控。通过这种方式,他们成功地实现了声子和载流子传输的同时调节,大幅提升了材料的热电性能。在温度为850开尔文时,他们获得了峰值zT值约为2.8,而在300至850开尔文温度范围内,平均zT值也达到了约1.65。此外,他们还在自制的分段模块中获得了约15.5%的能量转换效率,显示出了这种新方法在中温热电技术领域的巨大潜力。相关成果在Science发题为“Pseudo-nanostructure and trapped-hole release induce high thermoelectric performance in PbTe”研究论文。    

为了提高热电材料的性能,他们通过构建纳米结构和动态载流子调控的方法,在p型铅碲基材料中实现了同时调节声子和载流子传输的效果。如图1所示,他们通过在PbTe晶格中引入Na和Ge掺杂,使得纳米结构的大小收缩到纳米尺度,形成了聚集的阳极空位,这有效地增加了声子的散射。同时,他们通过将中心铅替换为偏心的锗原子,实现了载流子的调控,从而在低温下捕获载流子,在高温下释放载流子,动态地增加了载流子浓度。这两种调节机制的结合使得热电材料的性能得到了显著提升。实验结果显示,在850K时,材料达到了约2.8的峰值zT值,而在300至850K范围内,平均zT值达到了约1.65。此外,通过在温差为554K的条件下使用自制分段模块进行能量转换效率测试,他们获得了约15.5%的能量转换效率。这些数据显示,所提出的调节策略在提高热电材料性能方面取得了显著成果,为中温应用提供了有力支持。    

图片

图1. 具有伪纳米结构和捕获空穴释放的高性能PbTe基材料和模块。

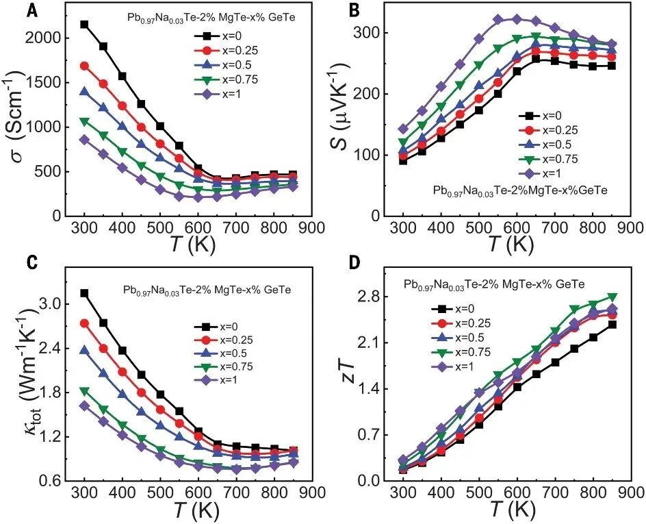
图2是热电材料的性能首先,他们选择了Na/Mg共掺杂的PbTe作为基础材料,因为Na是已知的PbTe的p型掺杂剂,而Mg则可以同时促进带收敛和增大带隙。接着,作者发现Ge掺杂对Na/Mg共掺杂的Pb0.97Na0.03Te-2%MgTe材料的热电性能产生了显著影响。随着Ge含量的增加,材料的电导率明显降低,而Seebeck系数却呈相反的趋势。此外,霍尔测量显示,随着Ge掺杂量的增加,空穴浓度从24.2 × 10^19降至5.9 × 10^19 cm^-3。与此同时,载流子浓度的减少导致了迁移率的显著增加,有助于维持材料的高电导率。温度依赖性方面,Ge掺杂样品的电导率突然增加,而Seebeck系数则在约550到650K开始下降。Ge掺杂还导致总热导率和晶格热导率显著降低。总体而言,通过Ge掺杂,作者实现了热电材料的显著性能提升,峰值zT值从Pb0.97Na0.03Te-2%MgTe的2.4提高到Pb0.97Na0.03Te-2%MgTe-0.75%GeTe的2.8。这些结果表明,Ge掺杂对热电性能具有重要影响,为热电技术的进一步发展提供了有益的指导。    

图片

图2. Pb0.97Na0.03Te-2%MgTe-x%GeTe(x=0、0.25、0.5、0.75或1)的热电性能。

图3展示了为了解释Pb0.97Na0.03Te-2%MgTex%GeTe(其中x = 0.25、0.5、0.75或1)中空穴浓度大幅减少的原因。首先,他们测量了载流子浓度随温度的变化,并观察到在低温下,所有样品的空穴浓度略有变化,而在高温下则显著增加。随后,通过电子顺磁共振(EPR)光谱和中红外瞬态吸收光谱(MIR-TAS),他们确认了偏心Ge处的空穴定域(困禁孔)。进一步的实验证实了通过Ge原子的偏心-向中心转变来释放困禁孔的机制。具体地,EPR光谱显示了困禁电子和空穴的特征信号,而MIR-TAS证实了Pb0.97Na0.03Te-2%MgTe-0.75%GeTe样品中的困禁孔导致了激发态吸收的过程。最后,通过现场低损耗电子能量损失谱(EELS),他们观察到了Ge原子从偏心到居中的转变,并使用密度泛函理论(DFT)计算进一步验证了这一过程。综合以上实验结果,研究人员提出了Ge原子偏心-向中心转变导致孔困禁和释放的机制,从而解释了Pb0.97Na0.03Te-2%MgTex%GeTe中空穴浓度变化的原因。    

图片   

图3. 孔捕获和释放。

图4研究了PbTe基热电材料的特性和性能。首先,他们探究了Ge掺杂对PbTe热电性能的影响。通过在PbTe中掺杂Na、Mg和Ge等元素,作者制备了一系列样品,并测量了它们的热电性能。他们发现,Ge掺杂可以明显降低电导率,同时提高塞贝克系数,从而有效改善了材料的热电性能。电导率随着Ge含量的增加而降低,而塞贝克系数则呈相反趋势。此外,Ge掺杂还导致载流子浓度的显著减小,从而提高了载流子的迁移率。温度依赖性的电导率和塞贝克系数显示出有趣的行为,其中所有Ge掺杂样品的电导率突然增加,而塞贝克系数则在约550到650K开始下降。作者进一步指出,Ge掺杂也导致总热导率和晶格热导率的大幅降低,使得材料的峰值热电系数(zT值)从未掺杂的PbTe样品的2.4增加到Ge掺杂的样品中的2.8。这些结果表明,Ge掺杂可以有效提高PbTe基材料的热电性能,具有良好的可重复性和稳定性。    

接下来,作者研究了Ge掺杂引起的孔困禁和释放机制。他们发现,随着温度的升高,Ge原子从偏心位置向中心位置转变,导致孔困禁和释放的现象。利用电子顺磁共振谱学(EPR)和中红外瞬态吸收光谱(MIR-TAS),他们证实了Ge掺杂导致的孔定位在偏心的Ge原子处,并随温度升高释放的过程。此外,作者还利用密度泛函理论(DFT)计算和X射线吸收精细结构(XAFS)等方法,对Ge原子的偏心占据进行了理论和实验分析。这些研究结果为孔困禁和释放机制提供了理论支持,并深入解释了该机制如何影响材料的载流子浓度和热电性能。

图片

图4. 伪纳米结构的表征。

此外,作者还研究了Ge掺杂引起的伪纳米结构对热电性能的影响。通过扫描透射电子显微镜(STEM)和X射线衍射等技术,他们观察到了PbTe基材料中的伪纳米结构的形成,这些结构能够有效散射声子,降低热导率。作者进一步发现,Ge掺杂能够减小Pb空位团簇的尺寸,从而进一步降低热导率。这些研究结果揭示了Ge掺杂在改善PbTe基材料的热电性能方面的重要作用。    

最后,作者利用PbTe基材料制备了热电模块,并评估了其热电转换效率。通过优化模块的结构和材料的选择,他们成功地实现了高效率的热电转换。他们的热电模块在给定温度差下,能够达到较高的转换效率,并且表现出良好的稳定性。这些研究结果为开发高效的热电材料和设备提供了重要参考和指导。

  图片              

图5.PbTe基分段模块的热电性能。

本研究提供了深入了解热电材料中载流子浓度调控机制的新视角,通过探索被困孔释放机制和纳米结构的相互作用,成功改善了PbTe基热电材料的性能。这一成果不仅为中温热电转换技术的应用提供了新的思路和解决方案,同时也丰富了作者对材料中缺陷与性能关系的认识。    

通过设计精妙的掺杂方案和调控材料微观结构,作者不仅提高了材料的热电效率,还实现了全温度范围内的稳定性和可控性。这一研究不仅在理论上拓展了作者对热电材料设计的认识,也为实际应用中更高效、可靠的热电能转换器件的开发提供了有力支持。

文献详情:Hwa Seob Choi et al. ,Molecularly thin, two-dimensional all-organic perovskites.Science384,60-66(2024).DOI:10.1126/science.adk8912  



版权声明:

本平台根据相关科技期刊文献、教材以及网站编译整理的内容,仅用于对相关科学作品的介绍、评论以及课堂教学或科学研究,不得作为商业用途。

万言堂

纳米人 见微知著