纳米人

Angew:基于共价有机框架材料层间空隙的完美选择性仿生质子通道

纳米人
2024-04-11


图片

在生物体中,质子的浓度比其他离子低六七个数量级。为控制质子传输、维持pH平衡,生物质子通道必须具有几乎完美的选择性,他们允许质子快速传输,但是阻止其他一切离子和分子的传输。对于人工材料来说,要实现这一特性非常困难。为了实现完美的选择性,生物质子通道采用了一种与其他离子通道不同的传输机制,它并不需要一个开放的通道来传输物质,而是内部形成一条连续的氢键线,质子可以在线上连续跳跃,这种独特的机制可以阻止离子和水分子的迁移,从而实现了完美的质子选择性。


受此启发,中国科学院青岛生物能源与过程研究所的高军研究员团队和四川大学的黄青松教授团队合作,利用共价有机框架材料(COF)的层间空隙构筑了具有完美选择性的仿生质子通道。在以往研究中,人们一般利用与COF膜垂直的纳米孔传输物质,但这些孔道比一般离子和分子大,难以阻止离子、分子的传输。然而,本文团队考虑到COF实际上是一个层层堆叠的构型,层与层之间有着极窄的空隙,这些空隙的高度比除质子外的任何物质都要小,因此可以实现完美的质子选择性。


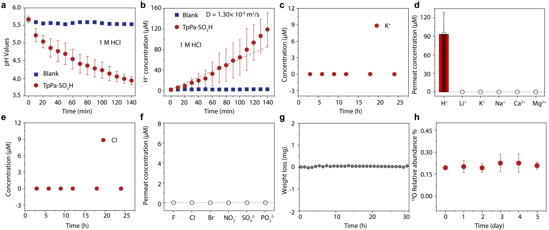
在实验中,研究团队证实了任何离子或分子都无法扩散通过,但质子的扩散速率与本体水的扩散速率处于同一数量级。密度泛函理论计算表明,水分子和 COF 材料形成氢键线,使得质子可以连续跳跃。研究进一步发现,质子传输速率可以通过调整官能团的酸度来调节,酸性强的基团可以提升质子传输速率,但无论何种基团,质子的完美选择比均可以保持。


本文第一作者为四川大学与中科院青岛能源所的联培博士李琪以及青岛能源所博后高宏飞。工作获得了国家重点研发计划以及青岛能源所(山东能源研究院)自主部署等项目的支持。


图片

图 1. TpPa-SO3H 膜的结构与表征


图片

图 2. TpPa-SO3H 层间的完美选择性质子传输

           图片   

图 3. 可调控的质子渗透速率

          

文章信息:

Qi Li1,2, Hongfei Gao2, Yongye Zhao2, Bo Zhou2, Lei Yu2, Qingsong Huang1*, Lei Jiang3, Jun Gao2, 4, 5* Covalent Organic Framework Interlayer Spacings as Perfectly Selective Artificial Proton Channels.  Angew. Chem. Int. Ed.2024, e202402094


原文链接:https://onlinelibrary.wiley.com/doi/abs/10.1002/anie.202402094



版权声明:

本平台根据相关科技期刊文献、教材以及网站编译整理的内容,仅用于对相关科学作品的介绍、评论以及课堂教学或科学研究,不得作为商业用途。

万言堂

纳米人 见微知著