Science:奇数环碳,首次合成!
米测MeLab
2024-05-22

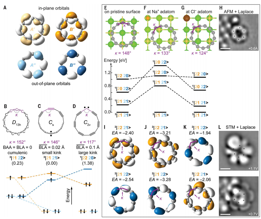
特别说明:本文由米测技术中心原创撰写,旨在分享相关科研知识。因学识有限,难免有所疏漏和错误,请读者批判性阅读,也恳请大方之家批评指正。含N的碳分子环(环[N]碳或CN)是测试量子化学理论方法的优秀基准系统,也是其他富碳材料的宝贵前体。多年来,环碳的实验研究仅限于气相或固体基质中的研究。直到最近,N = 10、12、14、16、18和20的偶氮环碳才通过原子操纵技术进行表面合成生成。奇数N环碳不能形成C(N/2)h或D(N/2)h几何形状,且预计比偶氮环碳更不稳定。此外,p系统中的奇数电子增加了需要考虑的基态数量,局部卡宾中心可能作为变形的附加因素而出现。因此,奇数N环碳结构高度复杂且极难预测。有鉴于此,IBM欧洲研究院Leo Gross和牛津大学Harry L. Anderson等人报告了通过使用扫描探针显微镜尖端操纵十氯芴来表面合成环[13]碳(C13),通过实验和理论建模阐明了C13的特性。C13采用具有三重基态和扭结几何结构的开壳构型,根据分子环境的不同,表现出不同程度的变形和卡宾局域化。此外,作者制备并表征了C13二聚体环[26]碳,证明了环碳及其前体作为碳同素异形体构建块的潜力。 作者阐明了由前体十氯芴 (C13Cl10)通过连续施加电压脉冲诱导C13的形成,产率约为 40%,此外,作者还解析了C13的电子结构。作者通过比较实验和理论,表明与卡宾中心的不同定位相关的不同程度的结构扭曲取决于表面环境,此外,还表明了芳香性逆转的可能性。作者合成并表征了C13二聚形成C26,通过C26的表面合成表明,奇数N环碳由于其极高的反应性,可以产生更大的难以捉摸的碳同素异形体。1、结合理论模型报告了奇数N环碳C13的实验结构表征作者通过尖端诱导十氯芴 (C13Cl10) 脱卤,在Au(111)上的超薄NaCl薄膜上制备了C13,一种 N = (4k+1)系列的环碳,并合成了其二聚体[26]碳。作者使用AFM和STM深入解析了C13的几何结构和电子结构,观察C13 分子存在局部角卡宾中心,具有开壳层基态,其两个p系统中都有13个电子,理论表明C13具有三重态。迄今为止,在研究偶氮环碳的表面实验中尚未报道通过聚合两个环碳或其前体来生成环碳。奇数N C13的高反应性可能使其有利于两个C13分子融合并形成C26,表明了合成更多同素异形体的可行性。前体十氯芴 (C13Cl10)通过快速加热从Si晶片升华到部分覆盖有单层和双层NaCl 薄膜的 Au(111)表面,通过CO尖端功能化在T=5 K下以非接触模式进行 STM 和 AFM 表征。通过电压脉冲诱导了逆伯格曼反应,连续施加电压脉冲导致C13的形成,产率约为 40%。各个C13分子在不同吸附位点的变形程度不同,表明形状受到表面环境的影响。 环碳表现出两个正交的p系统:一个是在原子核平面上具有轨道瓣的“面内”系统,另一个是在分子平面上具有零密度的“面外”系统。在没有BLA和BAA的情况下,面内轨道A'和B'将被单占据,而它们的面外对应物 A" 和 B" 将被双占据,从而产生三重态基态3|21 21>。作者通过理论计算表明三重态3|21 21>是C13的全局最小值。通过比较NIR的STM图,计算出电子附着的戴森轨道。电子垂直附着在三重基态Yn= 2|21 21>的C13上可以产生具有双占据面外轨道Yn+1=2|21 22> 或双占据面内轨道Yn+1=2|22 21>。比较实验和理论,吸附的C13分子均处于|21 21>态,具有sp3卡宾中心。从理论上讲,作者发现在所有计算的几何形状中,三重态3 |21 21>态的能量低于开壳层单重态1 |21 21>态。C13表现出具有不同明显扭结的几何形状,表明与卡宾中心的不同定位相关的不同程度的结构扭曲,具体取决于表面环境。DFT计算表明,处于3 |21 21>基态的C13维持约–18 nA/T的反芳香环电流。作者还注意到,C13中的环电流可能对几何形状非常敏感,这表明芳香性逆转的可能性。在表面上两个相邻的C13前驱体上方施加电压脉冲,产生了C26,N= (4k + 2)的环[N]碳系列。C26的AFM对比表明有明显的 BLA,因此是多聚结构。通过使用STM观察到离子共振是两个轨道密度叠加的结果,这是由两个轨道各自的能量简并性引起的,并证实了C26的双芳香族、闭壳层单重态构型。迄今为止,在研究偶氮环碳的表面实验中尚未报道通过融合两个环碳或其前体来生成环碳。奇数N C13的高反应性可能使其有利于两个C13分子融合并形成C26。C26的表面合成表明,奇数N环碳及其前体由于其极高的反应性,可以产生更大的难以捉摸的碳同素异形体。 总之,作者通过尖端操纵十氯芴来表面合成环[13]碳,通过实验和理论建模阐明了C13的特性,制备并表征了C13二聚体环[26]碳,证明了环碳及其前体作为碳同素异形体构建块的潜力。FLORIAN ALBRECHT, et al. The odd-number cyclo[13]carbon and its dimer, cyclo[26]carbon. Science, 2024, 384(6696):677-682.DOI: 10.1126/science.ado1399https://www.science.org/doi/10.1126/science.ado1399