段镶锋,Nature!
纳米人
2024-07-17
在手性分子-二硫化钽混合超晶格中发现非常规超导性

加州大学洛杉矶分校化学与生物化学系、电子与计算机工程系、材料科学与工程系的研究团队在Nature期刊上发表了一篇题为“Unconventional superconductivity in chiral molecule–TaS2 hybrid superlattices”的研究成果。该成果报道了一种通过将手性分子引入传统超导体晶格中以诱导非常规超导性的创新方法。这些非常规超导体——手性超导体,其超导顺序参数在动量空间中顺时针或逆时针缠绕,具有拓扑非平凡性质和时间反转对称性破缺特性,因此在拓扑量子计算中具有重要应用前景。论文通讯作者为段镶锋教授、王康龙教授和黄昱教授;第一作者是万众、邱罡。超导体是一类具有零电阻和完全抗磁性的材料,其电子以库珀对的形式凝聚。传统超导体通常表现为各向同性配对态(如s波超导体),而近年来对拓扑分类的研究引发了对对称性破缺配对态超导性的重新审视。其中,手性超导体由于其独特的时间反转对称性破缺(TRSB)性质,成为研究的热点。然而,天然存在的手性超导体极其稀少,仅有少数争议性的例子如UTe2、UPt3和Sr2RuO4。研究者们提出,传统固态超导体中非中心对称性是实现手性超导性的一种可能途径,但这种非中心对称性在常见的超导体中并不常见。另一方面,手性分子由于其结构中的镜像对称性和反演对称性的缺失,展示了手性诱导自旋选择性效应(CISS)。将这些手性分子与超导体结合,是否能够引入非常规配对对称性,从而实现手性超导性,成为了关键科学问题。此次研究采用了有机/无机材料相结合的手性分子插层的方法,将有机手性分子插入无机二维原子晶体TaS2中,形成交替排列的晶体原子层和自组装手性分子层的新型有序超晶格结构,从而实现了手性结构的引入,并且打破了材料的中心对称性,使得手性超导成为可能。
技术细节
研究团队采用了右旋和左旋的甲基苄胺(R-MBA和S-MBA)插层方法,成功将分子的手性引入到TaS2超晶格中。X射线衍射(XRD)图谱显示,插层后的超晶格层间距从原始的5.8Å扩展到11.7Å,圆二色性(CD)光谱研究也证实了手性分子的成功引入。温度依赖性传输测量显示,插层后的设备的超导转变温度(Tc)显著提升,从原始的1.1K提高到1.5K以上。在不同温度下的外部磁场依赖性研究表明,插层后的TaS2在390mK时的平面外上临界磁场(Bc2,⊥)为0.62T,而平面内上临界磁场(Bc2,||)远超18T的测量上限。图1:手性分子插层TaS2超晶格的结构示意图,以及超导温度、磁场等表征. 图2:利用Little-Park测量进行超导相位观测实验发现手性超晶格中的π相位差。
超导相位实验
Little-Parks实验是通过测量超导体环形样品的电阻随磁通量的变化,来研究其超导态性质。在这项研究中,研究团队利用小直径的TaS2环形样品,通过插层手性分子,观察到在外加磁场下的电阻振荡现象。实验结果显示,在插层后的TaS2超晶格中,出现了明显的π相位移,这表明存在非常规配对对称性。与此同时,在未插层TaS2喝非手性分子插层的TaS2中,则表现出0相唯一的电阻震荡,这进一步验证了手性诱导的非常规超导性。图3:未插层TaS2以及非手性超晶格中的0相位差。
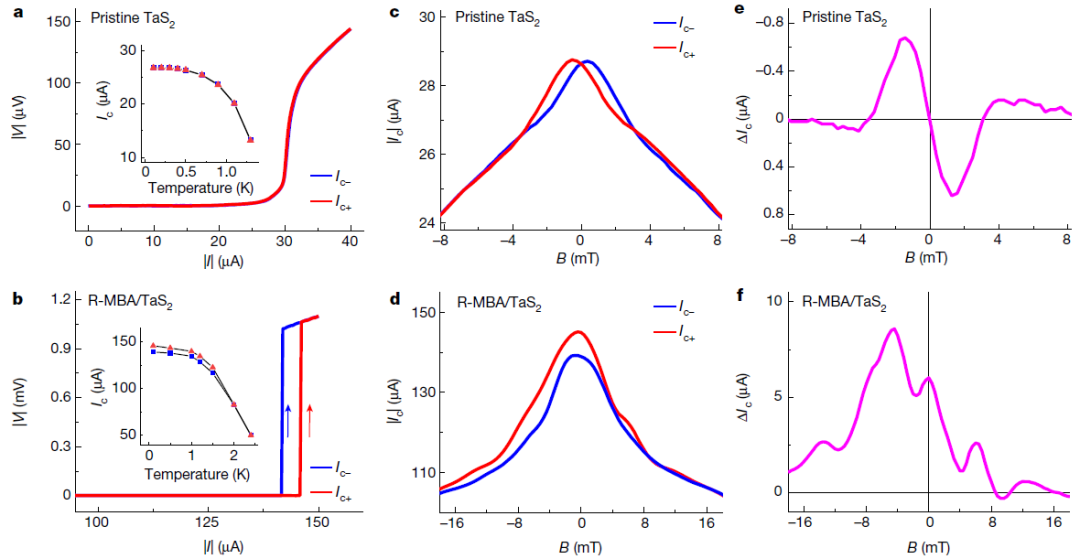
超导二极管效应
超导二极管效应(SDE)是指在没有外加磁场的情况下,超导体可以实现电流的单向传输。在这项研究中,研究团队发现,手性分子插层后的TaS2样品在无外加磁场的条件下表现出明显的超导二极管效应。这一效应的出现,进一步证明了手性超导体的时间反转对称性破缺特性。在实验中,研究人员通过测量样品在正负电流下的电压响应,发现插层后的样品在某一方向上显示出零电阻,而在相反方向上则表现出显著的电阻,这一现象在未插层的TaS2样品中并未观察到。 这一系列实验结果表明,手性分子与晶体原子层之间的相互作用可能导致了独特的拓扑量子材料的形成。研究团队表示,这种混合超晶格可以通过结合具有丰富物理性质的层状晶体和结构多样的功能分子,铺设出通向人工量子材料的多样化道路。这一发现不仅为理解手性超导性提供了新的视角,还为设计新型量子材料和器件提供了宝贵的理论依据。未来,研究团队将继续探索更多手性分子和传统超导体的结合,以期发现更多具有独特性质的非常规超导体。Wan, Z., Qiu, G., Ren, H. et al. Unconventional superconductivity in chiral molecule–TaS2 hybrid superlattices. Nature (2024). https://doi.org/10.1038/s41586-024-07625-4