她,一周连发两篇Nature Catalysis!
纳米人
2024-07-26

7月1日,加州大学洛杉矶分校黄昱教授在Nature Catalysis上报道了一种 2 nm Pt纳米粒子用于燃料电池,一个星期后,加州大学洛杉矶分校缪建伟教授、黄昱教授、Philippe Sautet教授再次在Nature Catalysis上发表PtNi纳米粒子催化工作。
回顾2 nm Pt纳米粒子用于燃料电池的工作:
Pt纳米催化剂对于质子交换膜燃料电池的ORR反应非常有利,但是通常在催化活性-持久性之间进行平衡。有鉴于此,加州大学洛杉矶分校黄昱教授、意大利国立研究委员会(CNR)Alessandro Fortunelli等报道设计了Pt纳米粒子组装在CoOx簇内的纳米催化剂CoOx@Pt,这种催化剂的设计利用了Pt/氧化物之间的强相互作用,从而保证其具有较好的结构稳定性和化学稳定性,同时不会影响催化活性。CoOx@Pt纳米粒子具有1.10 A mgPt-1的质量活性,在组装膜电解槽实现了1.04 W cm-2额定功率密度,Pt的利用率达到10.4 W mgPt-1。这种催化剂具有优异的耐久性,在0.8 A cm-2加速老化测试过程处理后,质量活性仍保留88.2 %,电压的损失量仅为13.3 mV,功率的损失仅为7.5 %。由于其具有的优异耐久性,CoOx@Pt催化剂的寿命达到15000 h,缓解了寿命造成的成本增加问题。
第一作者:Yao Yang, Jihan Zhou, Zipeng Zhao, Geng Sun
通讯作者:缪建伟教授、黄昱教授、Philippe Sautet教授
通讯作者单位:加州大学洛杉矶分校
异相纳米催化剂在化工和能源领域非常重要,虽然异相纳米催化剂在理论、计算、实验领域都得到显著的发展,但是活性位点的鉴定仍是个巨大挑战。有鉴于此,加州大学洛杉矶分校缪建伟教授、黄昱教授、Philippe Sautet教授等使用精度达到原子尺度的AET电子断层成像(Atomic electron tomography)表征技术研究PtNi和Mo掺杂PtNi纳米ORR催化剂的三维原子结构,并且鉴定真实纳米粒子中的活性位点。使用实验得到的原子结构作为训练数据,通过第一性原理进行训练,鉴定纳米催化剂的活性位点。作者通过分析催化剂的结构-活性关系,提出了一种叫做局部环境的描述符的方程式,通过这个方程能够描述ORR活性位点的物理性质和化学性质。这项技术确定了真实纳米粒子的三维原子结构和化学组成,此外通过进一步与机器学习技术结合,加深了催化剂活性位点的理解和认识,有助于纳米催化剂的理性设计和优化。图1. 原子层析成像-DFT训练机器学习研究催化活性位点以碳黑/碳纳米管作为载体,分别修饰PtNi和Mo-PtNi,合成了PtNi催化剂和Mo-PtNi两种催化剂。使用30圈循环伏安测试,活化负载在炭黑表面的纳米催化剂。PtNi催化剂和Mo-PtNi催化剂在0.9 V的ORR比活性分别达到4.8 mA cm-2和9.3 mA cm-2。随后通过暗场STEM表征对11个PtNi和Mo-PtNi纳米粒子进行AET表征。作者通过低剂量曝光技术采集数据,从而减少电子对样品的损伤。随后分别通过一系列处理(预处理、3D重构、原子追踪和精修),确定了纳米催化剂的3D原子配位和催化剂的化学组成,使用EXAFS测试给出像素对应的尺寸。在11个纳米催化剂粒子中,每个纳米粒子的Pt和Ni原子数目范围在4281~14172之内。其中Mo掺杂原子主要分布在Mo-PtNi纳米粒子八面体的顶点和边上,修饰的Mo原子能够影响纳米粒子的形貌,缓解Ni原子的腐蚀。但是由于Mo掺杂的比例太低,因此难以区分Mo原子和Ni原子。表征11个PtNi和Mo-PtNi纳米粒子的3D表面形貌,结果显示在表面和内部都发生元素的偏析。表面层主要由Pt原子组成,形成的晶面包括(100)、(110)、(111)晶面以及少量高指数晶面。此外,通过实验给出的原子结构信息,能够定量表征表面凹陷、结构和化学组成的有序/无序、原子配位数目、表面化学键的键长。纳米粒子主要表现为八面体,但是作者发现一定程度的表面凹陷、结构无序、化学结构畸变。Mo掺杂能够增加表面凹陷程度和结构畸变,而且能够保留次表面Ni原子。表面的Pt原子配位数分布4~11,其中CN=9是峰值。PtNi和Mo-PtNi纳米粒子的表面Pt-Pt化学键键长分别为2.77±0.16 Å和2.75±0.19 Å。随后作者分别对催化活化前后的6个PtNi和Mo-PtNi纳米粒子进行表征,研究没有催化活化时候纳米粒子的初始结构。改变纳米粒子对组成和结构的影响。表征了11个PtNi和Mo-PtNi纳米催化剂颗粒经过活化之后的3D原子结构,观测发现催化剂的活化导致改变表面Pt-Pt化学键的键长,导致Pt和最近的Pt原子和Ni原子发生改变,而且改变了表面和次表面的Ni成分。表面和次表面的Ni成分降低说明催化剂的活化过程导致Ni的腐蚀比Pt的腐蚀更严重。此外,作者发现次表面Ni与表面Pt-Pt化学键的长度有关。当次表面Ni增加,Pt-Pt化学键的长度减少,说明次表面Ni原子导致表面Pt的压缩应力。这项研究说明AET能够非常有效的捕捉PtNi和Mo-PtNi纳米催化剂在催化剂活化过程中3D结构的变化和组分的变化。图3. PtNi催化剂和Mo-PtNi催化剂的结构表征通过实验给出的3D原子配位情况,用于DFT训练的机器学习进行确立ORR催化活性位点。这个方法实现了机器学习和DFT的结合,相比以往研究只是用于预测电催化剂的活性,这项研究实现了显著的进步。DFT理论计算说明ORR的催化活性遵循Sabatier原理,催化剂的对中间体具有合适的吸附能(吸附能不太强或不太弱)能够表现最好的性能。通过对11个纳米粒子DFT训练和机器学习,并且结合3D原子模型,成功的对各个表面的Pt原子OH结合能进行预测。通过对DFT计算和机器学习给出的OH结合能进行定量比较,说明机器学习方法能够非常准确的预测OH结合能,平均方差仅为0.07 eV。随后将训练的数据用于理解催化剂活化后的ORR催化活性对应的表面Pt位点。通过与Pt(111)模型的OH结合能进行对比,给出了17985个表面Pt原子的ORR活性,模拟计算的结果与电化学测试结果非常吻合。这说明DFT训练和机器学习能够用于鉴定ORR催化活性。作者发现表面Pt位点的ORR活性的变化达到好几个数量级。其中大多数表面Pt原子位点的活性较低,但是存在非常少的高活性位点。这项研究结果说明定量表征3D原子环境对于纳米催化剂的活性位点非常重要。
局部环境描述符
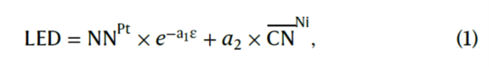
作者通过详细深入的分析结构-活性关系,定量研究ORR催化活性位点的性质。通过对大量实验测试的PtNi和Mo-PtNi纳米粒子的17985个位点结构和化学性质(包括表面凹陷、配位数目、Pt-Pt化学键的键长、结构有序/化学有序、应力效应/配体效应)进行拟合。通过拟合OH结合能与机器学习OH结合能之间的差距,得出了局部环境描述符LED(local environment descriptor)。这个LED描述符能够将每个活性位点的催化活性与相邻Ni原子和Pt原子的局部3D原子排列情况进行关联,根据这个描述符,NNPt、dPt、CNNi与ORR催化活性的关系比表面凹陷或者结构/化学有序性或无序性更重要。对LED与17985个位点的OH结合能进行拟合,得到ORR催化活性与LED之间的关系,LED与ORR之间表现火山形变化曲线,其中当LED=10.02,ORR具有最高值。拟合后的RMSE为a1=2.13,a2=1.14。由于RMSE的数值较小,说明拟合得到的催化剂结构-活性规律准确性很好。LED能够用于理解Pt合金催化剂的实验结果。实验数据结果说明Mo-PtNi比PtNi具有更短的Pt-Pt化学键长度,而且化学键长度分布更宽。
参考文献及原文链接
1. Peng, B., Liu, Z., Sementa, L.et al. Embedded oxide clusters stabilize sub-2 nm Pt nanoparticles for highly durable fuel cells. Nat Catal (2024).
DOI: 10.1038/s41929-024-01180-x
https://www.nature.com/articles/s41929-024-01180-x
2. Yang, Y., Zhou, J., Zhao, Z. et al. Atomic-scale identification of active sites of oxygen reduction nanocatalysts. Nat Catal (2024).
https://doi.org/10.1038/s41929-024-01175-8