纳米人

新加坡国立大学Nature Nanotechnology :突破!WTe2/NiO/FM异质结构新进展!

米测MeLab
2024-07-31


图片


研究背景

随着信息技术的迅猛发展,传统电子设备的功耗和性能限制日益引起关注。尤其是在高密度存储和高速计算领域,降低功耗和提高效率已成为关键研究方向。自旋波(或称为磁振子)作为磁性材料中的基本激发,具备在绝缘体中传输自旋角动量的独特能力,与传统电子设备中电子运动引起的功耗不同。因此,磁振子设备被认为有潜力解决传统电子设备面临的能效瓶颈。

磁振子设备的核心是通过磁振子在绝缘体中的传播来实现自旋传输,这样可以减轻焦耳加热问题。磁振子在绝缘体中的传播距离可以达到微米级,且速度极快,这为低功耗和高速自旋电子设备的发展奠定了基础。然而,尽管磁振子在理论上具有这些优势,实际应用中仍面临若干挑战。例如,目前磁振子设备通常需要外部磁场来实现确定性的磁化切换,这对设备设计和可扩展性提出了额外要求。

鉴于此,新加坡国立大学Fei Wang, Guoyi Shi,Hyunsoo Yang等人在“Nature Nanotechnology”期刊上发表了题为“Deterministic switching of perpendicular magnetization by out-of-plane anti-damping magnon torques”的最新论文。在本研究中,作者展示了在WTe2/NiO/FM异质结构中实现的出平面反阻尼磁振子扭矩。这种新型结构利用了WTe2作为自旋电流源,并通过调节电流方向与WTe2晶体轴之间的角度来控制磁振子扭矩。

作者通过实验验证了这种结构能够在室温下实现无场的垂直磁化切换,并将功耗降低至比拓扑绝缘体系统低190倍。此外,通过优化材料和界面,磁振子扭矩的效率可以进一步提高。    
              

研究亮点

1. 实验首次展示了在WTe2/NiO/FM异质结构中出平面反阻尼磁振子扭矩的存在,并实现了无外场的垂直磁化切换。
                  
2. 实验通过调整电流方向与WTe2晶体轴之间的角度来控制自旋电流和相应的磁振子扭矩,发现:

  • 生成的磁振子扭矩强烈依赖于WTe2的晶体对称性。通过优化电流方向和晶体取向,实现了在室温下的无场垂直磁化切换。
  • 与拓扑绝缘体系统相比,所提出的磁振子设备功耗降低了190倍。
  • 实验观察到,不同的自旋源层和反铁磁层的优选晶体取向可进一步增强出平面反阻尼磁振子扭矩。
  • 在实验中,磁振子电流是通过流经自旋源层的电流触发的,然而其扭矩效率相比电子介导的磁振子有所降低,主要由于磁振子在转换和传输过程中的自旋角动量损失。    

                  
3. 未来的研究方向包括:

  • 通过材料和界面优化来提升磁振子扭矩效率。
  • 开发完全依赖磁振子的设备,例如使用磁电多铁材料生成磁振子,减少功耗。
  • 扩展到非易失性磁性随机存取存储器(MRAM),将磁振子扭矩集成到垂直磁隧道结中。
  • 探讨超快磁振子扭矩操作在短脉冲测量、斯格明子运动和基于磁振子的纳米振荡器中的应用。


图文解读

图片
图1:平面外反阻尼磁振子力矩的观测。
   
图片
图2: 在WTe2 (8nm)/NiO (25nm)/CoFeB异质结构中,垂直磁化的磁振子转矩驱动翻转。    

图片
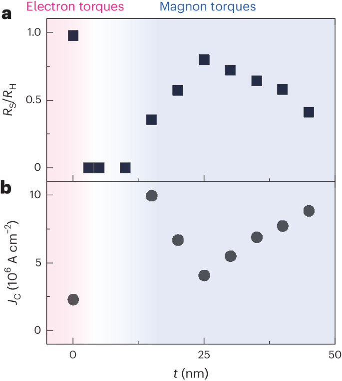
 图3: 在WTe2 (8nm)/NiO (t)/CoFeB中,自旋-轨道力矩的NiO厚度依赖性。    
图片
图4:在PtTe2 (d)/WTe2 (8-d)/NiO (25nm)/FM中,垂直磁化和高自旋霍尔电导率的无场翻转。

总结展望

本文的研究首次在WTe2/NiO/FM异质结构中成功展示了出平面反阻尼磁振子扭矩,这一发现突破了传统的平面内磁振子扭矩应用限制,显著推动了磁性材料在低功耗、自旋电子学设备中的应用。通过调整电流方向与WTe2晶体轴之间的角度,能够精确控制自旋电流和磁振子扭矩,这为设计更高效的自旋电子学器件提供了新的思路。

其次,本研究揭示了利用多晶反铁磁NiO层实现无外部磁场的垂直磁化切换的潜力。实验表明,与传统拓扑绝缘体系统相比,该异质结构在功耗方面具有190倍的降低,这一成果对发展低功耗、高效能的自旋电子器件具有重要意义。此外,不同自旋源层的应用和优化,结合反铁磁层中的晶体取向,能够产生更强的出平面磁振子扭矩,进一步提升器件性能。   
 
本文还提出,通过优化材料和界面设计,可以解决磁振子在转换和传输过程中的自旋角动量损失问题,从而提高磁振子扭矩的效率。这一研究方向为未来开发基于磁振子的高效器件奠定了基础,尤其是期待在无外部磁场的情况下实现更加高效和可靠的磁化切换。未来,基于磁振子的设备和多铁材料在短脉冲测量、斯格明子运动及纳米振荡器等应用中的潜力,显示了磁振子技术的广阔前景。总体而言,本文的研究扩展了磁振子扭矩应用的边界,为高密度、低功耗的自旋电子器件提供了新的理论依据和技术路径。

原文详情:
Wang, F., Shi, G., Yang, D. et al. Deterministic switching of perpendicular magnetization by out-of-plane anti-damping magnon torques. Nat. Nanotechnol. (2024). 
https://doi.org/10.1038/s41565-024-01741-y   



版权声明:

本平台根据相关科技期刊文献、教材以及网站编译整理的内容,仅用于对相关科学作品的介绍、评论以及课堂教学或科学研究,不得作为商业用途。

万言堂

纳米人 见微知著