纳米人

​新发现!中国人民大学程鹏课题组JACS:一种新型磁性二维材料!

纳米人
2024-07-31


中国人民大学程鹏课题组与合作者发现一种新型磁性二维材料FePd2Te2


图片


自2004年石墨烯带来二维材料研究热潮至今,人们研究的二维材料大多是化学数据库里已知晶体结构的固体材料,很少有全新晶体结构的二维材料被发现。近日,中国人民大学的程鹏团队发现一种具有全新晶体结构的新型磁性二维材料FePd2Te2,并与程志海教授课题组、中科院强磁场科学中心郑国林研究员团队和衢州学院杨建辉教授合作对其结构与物性进行深入研究,发现FePd2Te2是一个非常少见的具有面内单轴各向异性的二维铁磁金属,并在一种特殊孪晶结构作用下形成了有趣的面内自旋纹理结构。


可以被解理到少层并能保持长程磁有序的二维材料无论对于基础物理研究还是自旋电子学器件应用都具有重要价值,在近年来成为科学界关注的热点。目前被广泛研究的磁性二维材料都或多或少具有一些诸如空气敏感、大单晶制备困难、居里温度低、磁各向异性弱等缺点,因此积极探索具有优异物性的新型磁性二维材料具有重要意义。


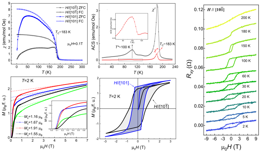
中国人民大学团队近日发现一种可制备厘米量级单晶的全新三元化合物FePd2Te2。通过结构解析和密度泛函理论计算发现这是一个具有Fe原子组成的准一维Z型Fe链结构的二维材料(图1),机械剥离实验可以得到厚度低于5纳米的少层薄片。磁化率、输运、比热和中子散射实验结果表明,FePd2Te2是一个居里温度为183K的铁磁金属,具有沿着解理面内方向的强单轴磁各向异性和大矫顽场的硬磁性,并且还表现出巡游磁性和强关联电子行为(图2)。有趣的是,扫描隧道显微镜实验在FePd2Te2中观测到一种奇特的面内准一维Fe链转角90度的孪晶结构。并且在孪晶结构和单轴磁各向异性共同作用下,FePd2Te2在解理面内形成一种非常少见的自旋纹理结构(图1)。综合上述研究结果,FePd2Te2首先是一种空气稳定、可制备大尺寸单晶的新型磁性二维材料,为二维磁性领域的研究提供了一个崭新的材料平台。并且它奇特的一维与二维交织的晶体结构、面内单轴各向异性以及孪晶控制的自旋纹理结构,预示着未来在其中探索新奇量子现象和实现自旋电子学器件应用的重要价值。 

   

图片

图1:FePd2Te2的晶体结构、Fe链及孪晶结构的STM图像。图片来源J. Am. Chem. Soc.

          

图片

图2:FePd2Te2块体的磁性质和薄样品的反常霍尔效应。图片来源J. Am. Chem. Soc.    

          

这一成果近期发表在Journal of the American Chemical Society上,中国人民大学程鹏副教授、程志海教授和强磁场中心郑国林研究员为论文的共同通讯作者。人民大学博士生史秉贤为论文第一作者,人民大学博士生耿燕燕、强磁场中心博士生王恒宁和衢州学院杨建辉教授为论文共同第一作者。


论文信息:https://pubs.acs.org/doi/10.1021/jacs.4c04910


FePd2Te2: An Anisotropic Two-Dimensional Ferromagnet with One-Dimensional Fe Chains

J. Am. Chem. Soc., 2024  DOI: 10.1021/jacs.4c04910  


程鹏博士简介

图片

程鹏,中国人民大学物理学系副教授。2011年于中科院物理所取得博士学位,2013年在德国慕尼黑工业大学FRM2反应堆做访问科学家,2011年8月起就职于中国人民大学。


2019年建设完成国内首台冷中子三轴极化谱仪“行知”并负责谱仪的运行。主要研究方向为利用中子散射实验手段研究非常规超导、二维磁性、量子磁性材料中的奇异物性。在包括Nature子刊、Phys. Rev. Lett., J. Am. Chem. Soc., Appl. Phys. Lett., Phys. Rev. B等期刊发表SCI论文60余篇,文章总被引次数超过2800次  



版权声明:

本平台根据相关科技期刊文献、教材以及网站编译整理的内容,仅用于对相关科学作品的介绍、评论以及课堂教学或科学研究,不得作为商业用途。

万言堂

纳米人 见微知著