Science一作兼通讯:锂离子电池,又有新进展,这一次打破传统认知!
米测MeLab
2024-09-18

编辑总结
锂离子电池的效率和可靠性的一个限制因素是它们随时间自放电的倾向。本文使用了一系列实验表面表征方法和对代表性高镍含量正极的理论计算,研究了镍在表面相比于体相的还原机制。他们观察到,自放电是由于质子插入充电正极,这是由电解质分解触发的。这一基于表面氢化反应的机制,与广泛接受的基于锂从电解质扩散到正极的模型有所不同。—Marc S. Lavine
研究背景
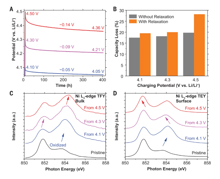
随着可充电电池技术的迅猛发展,锂离子电池(LIBs)由于其高能量密度和优良的循环稳定性成为了广泛应用于便携式电子设备和电动汽车中的主要电源。然而,锂离子电池在长期使用过程中面临着自放电和化学诱导的机械效应等问题,这些问题严重影响了电池的日历寿命和循环寿命。自放电是指电池在静置状态下,无负载的情况下,电池电压和容量逐渐降低的现象。这一现象在锂离子电池的正极特别明显,导致电池性能衰退和能量损失。目前,关于锂离子电池自放电的主要理解集中在锂离子从电解质扩散到正极的过程。传统模型认为,自放电主要是由于锂离子在电解质与正极之间的扩散以及电极与电解质之间的副反应所致。然而,最新的研究发现,这种模型无法完全解释所有的自放电现象,特别是在高电压和高镍含量的正极中。研究人员发现,充电正极中的氢转移现象可能是自放电的另一重要机制。 为了探明这一现象,美国SLAC国家加速器实验室宛刚、Michael F. Toney,美国DEVCOM陆军研究实验室许康、Oleg Borodin等人合作在“Science”期刊上发表了题为“Solvent-mediated oxide hydrogenation in layered cathodes”的最新论文。他们通过一系列实验表面表征方法和理论计算,对代表性高镍含量的正极进行了研究。他们观察到自放电的主要原因是质子插入到充电的正极中,这一过程是由电解质分解引发的。具体来说,氢化反应使得氢从碳酸盐溶剂转移到去锂化的正极上,进而引发了自放电。通过这种机制,正极中的氢化作用导致了化学和结构的不均匀性,这种现象进一步加剧了电池的退化,并影响了正极的化学-机械耦合以及电池的日历寿命。
研究亮点
1. 实验首次观察到氢化导致自放电的机制:通过系列实验和理论计算,本文首次揭示了氢化反应对锂离子电池正极自放电的影响。研究发现,氢从碳酸盐溶剂转移到去锂化的高镍含量正极表面,触发了正极的氢化反应。2. 实验通过表面表征和深度分析观察到氢化与自放电的关系:研究团队采用同步辐射X射线方法和深度剖析质谱技术,对代表性高镍含量的正极进行分析,得到以下结果:
- 氢转移导致了正极的氢化,进而引发自放电现象,这一机制与传统基于锂离子扩散的自放电模型不同。
- 在自放电的正极中,观察到对立的质子和锂离子浓度梯度,这些梯度导致了去锂化正极内部的化学和结构不均匀性,从而加速了正极的退化。
3. 氢化影响正极的化学-机械耦合及电池日历寿命:实验结果表明,氢化过程可能会影响正极的化学-机械耦合,进而影响锂离子电池的日历寿命。这一发现为理解和改进锂离子电池的自放电行为提供了新的视角。
图文解读
图1:NMC532电极随电位变化的自放电以及块体和正极表面的镍氧化态演化。图2:溶剂和锂化状态对正极表面与电解质之间化学反应的影响。
总结展望
本文揭示了锂离子电池自放电的新机制,提出了不同于传统锂离子扩散模型的氢化过程。传统模型主要解释了锂离子从电解质扩散到正极导致的自放电,而本文通过实验证明,充电正极的自放电实际上是由电解质分解引发的质子插入引起的。这一发现表明,层状过渡金属氧化物正极中的氢转移可能是自放电的主要驱动因素。这一新机制不仅揭示了氢化对正极材料的影响,还指出了自放电引发的化学和结构不均匀性,这种不均匀性加速了材料的退化。研究发现,正极中的氢化和质子-锂离子浓度梯度的对立是导致自放电和退化的重要因素,这为改进锂离子电池的设计提供了新的视角。 这一发现对未来开发具有更强氢抵抗能力的正极材料,以及优化电解质,以降低氢化对电池性能的负面影响,将是提高电池寿命和性能的关键。通过这项研究,我们能更好地理解电池的失效机制,从而推动锂离子电池技术的发展。Gang Wan et al. ,Solvent-mediated oxide hydrogenation in layered cathodes.Science385,1230-1236(2024).DOI:10.1126/science.adg4687