纳米人

北大&清华,最新Nature Catalysis!

纳米技术
2024-09-27


图片

      
解决的关键科学问题和主要研究内容
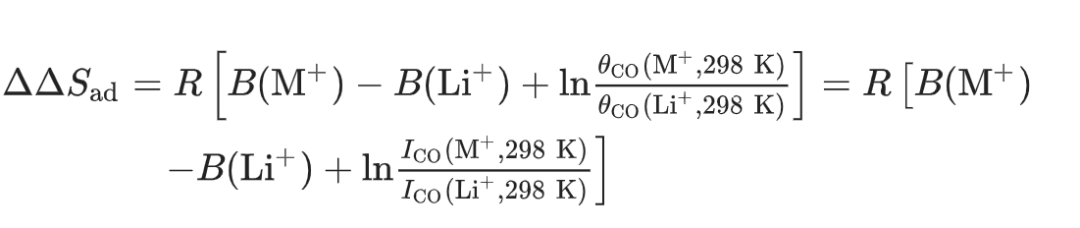
1. SEIRAS测试和理论计算研究阳离子影响电催化反应;
2. 电化学反应中的焓和熵的补偿机制;
3. 讨论不同阳离子对电催化反应的影响原理。
            
电解液阳离子对电催化还原CO2/CO反应具有显著的影响,但是对于阳离子的影响仍然存在争议,主要的争议在于阳离子如何影响电化学界面的物理化学性质,以及阳离子如何影响CO2RR电催化反应的基元步骤。

有鉴于此,北京大学徐冰君教授、清华大学肖海副教授等报道在电催化反应过程原位和定量的研究阳离子对Cu电极吸附CO分子的焓和熵的影响。随着阳离子的次序 Li+>Na+>K+>Cs+,CO吸附逐渐变得困难。阳离子能够影响CORR正向反应的焓-熵补偿作用。这项研究为研究阳离子在CORR电催化反应基元步骤的影响,发现阳离子在稳定CORR反应过渡态中起到关键性的作用    
                       

阳离子影响CO吸附的焓和熵

图片
图1. SEIRAS测试研究CO的吸附焓和吸附熵
                        
通过SERIAS表征技术研究CO在市售Cu颗粒催化剂表面的吸附焓。在SEIRAS表征过程中,将催化剂担载到Au膜上作为工作电极,在电化学环境实验下表征CO的吸附焓。通过表征线性吸附CO分子(COL)和覆盖度之间的线性关系,测试得到CO的吸附焓。通过XRD和SEM表征研究发现负的过电势进行CORR反应过程中晶体的取向和催化剂的CO形貌没有改变。在289-298K区间内每隔3K温度测试CO吸附的SEIRA光谱。   
 
根据相关研究,通过表征COL的峰(~2070cm-1)(关键中间体)确定电催化CORR反应活性。

图片

根据这个方程式能够得到不同阳离子时CO的ΔHad(吸附焓)。在0.1M MOH(M= Li, Na, K, Cs)电解液中测试CO的ΔHad的变化规律为 Li+<Na+<K+  <Cs+,Li+和Cs+的ΔHad区别达到~23kJmol-1

随后,根据方程研究阳离子对CO吸附熵的影响(ΔΔSad
图片
ΔΔSad与不同金属阳离子对于CO中间体覆盖度有关。当阳离子从Li+变成Na+或K+,CO的峰面积降低16%,随后阳离子为Cs+,CO的峰面积降低至66%(相比于Li+)。最后,将Cs+重新变成Li+,CO的峰面积重新变成~90%。

发现COL峰发生红移的现象,这种峰位的红移是界面电场和短程相互作用共同作用的结果。当阳离子由Cs+重新变为Li+,发现CO的峰稍微变宽,而且相比于最初Li+的情况,CO的峰向低波数方向偏移,这个现象是因为Cs+和负电荷表面之间的强相互作用,导致难以完全去除Cs+

理论计算研究阳离子效应

图片
图2.  AIMD表征Cu(100)晶面Na+和Cs+对CO吸附的影响      
          
通过固定电势AIMD理论计算研究不同阳离子对*CO吸附的影响。建立了Cu(100)晶面模型,研究Li+/Cs+阳离子水溶液的CO吸附动力学(根据文献报道Cu(100)晶面是CO(2)RR电化学还原反应的主要晶面)。计算结果显示Li+和CO之间的相互作用比Cs+和CO之间的相互作用弱。Li+和Cs+的CO吸附能量分别为-0.05eV和0.35eV,计算结果与实验测试的焓变相符(实验测试结果,Li+和Cs+的吸附焓ΔHad ~23kJmol-1)。而且计算结果发现,由于CO和Cs+之间的强静电相互作用,导致CO和Cu之间的相互作用变弱。
      
CO吸附的焓-熵补偿相互作用
图片
图3. CO吸附过程的焓和熵之间的关系
          
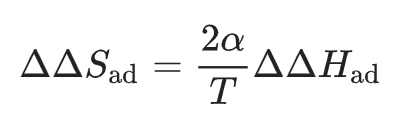
设计了二维平移模型(two-dimensional translation model),研究不同阳离子的CO吸附焓-熵补偿机理。

COL的吸附只有两个平移自由度,作者提出的2D-trans模型关键是催化剂表面的COL平均距离受制于CO在表面移动的能垒。结果发现
图片
∆∆Sad与∆∆Had 之间呈线性变化,计算结果显示α=0.48。    

图片
图4. MOH电解液(M=Li, Na, K, Cs)的电化学活化参数

阳离子影响CO吸附的焓和熵

图片
图5. 阳离子对基元步骤活化能的影响
          
通过改变温度的方式测试0.1M MOH (M=Li, Na, K, Cs)电化学反应活化能,发现生成C2H4的部分电流密度与1/T具有线性关系。活化参数电势为-1.50V,发现生成C2H4的部分电流密度和过电势之间具有非常好的线性关系,说明没有测试过程没有传质的限制。根据相关研究发现,首个质子耦合电子转移步骤是生成C2H4的RDS步骤。通过Eyring方程式计算在LiOH电解液的电化学表观活化焓(ΔH)和电化学表观活化熵。

此外,溶剂化和吸附步骤能够对反应的焓(ΔHad)和熵(ΔSad)产生影响。考虑了溶剂化和吸附的影响之后,计算了不同阳离子的活化焓(ΔH*)和活化熵(ΔΔS*),结果显示ΔH*的变化规律为Li+>Na+>K+>Cs+,ΔΔS*基本上没有变化。这个结果说明阳离子对RDS反应的影响主要是调节活化焓。    

阳离子浓度影响CORR
图片
图6. 阳离子浓度对CORR基元步骤的影响

研究阳离子浓度对CORR电催化反应性能的影响。将0.4M NaClO4加入0.1M NaOH,因此能够保证电解液pH,同时改变阳离子浓度。在-1.15V过电势和0.4 M NaClO4+0.1M NaOH电解液中,对lnACO与1/T进行作图,结果显示与0.1M NaOH电解液的参数和斜率基本上相同,不同阳离子浓度下的离子ΔHad基本上没有改变,Li+的情况同样如此。而且不同Na+浓度的ΔSad基本上没有变化,因此阳离子浓度对于CO在Cu表面的热力学吸附基本上没有影响。

此外,发现0.1MNa+和0.5MNa+中,生成C2H4的部分电流密度与电流有关,说明离子浓度增加,导致表观电化学活化焓降低。0.1MNa+和0.5MNa+的表观电化学活化焓(ΔH)分别为33.7kJmol-1和11.9kJmol-1。通过ΔH*和ΔS*之间的补偿作用,0.5 MNa+的ΔG*比0.1 MNa+的ΔG*低1.12kJmol-1,研究结果说明增加阳离子浓度能够稳定CORR生成C2+反应过程中的活性物种,这种稳定作用是增强催化活性的关键因素,CO吸附的热力学贡献基本没有作用。
                      
参考文献及原文链接
Xu, Y., Xia, Z., Gao, W. et al. Cation effect on the elementary steps of the electrochemical CO reduction reaction on Cu. Nat Catal (2024).
DOI: 10.1038/s41929-024-01227-z
https://www.nature.com/articles/s41929-024-01227-z



版权声明:

本平台根据相关科技期刊文献、教材以及网站编译整理的内容,仅用于对相关科学作品的介绍、评论以及课堂教学或科学研究,不得作为商业用途。

万言堂

纳米人 见微知著