时隔一个月,物理所80后副所长,再登Nature!
纳米技术
2024-10-09


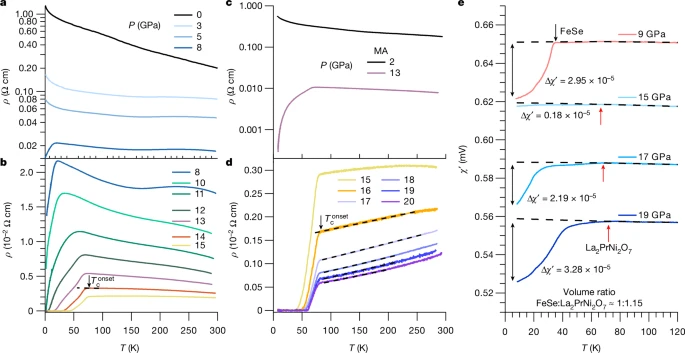
8月28日,浙江大学物理学院曹光旱研究组联合中国科学院物理研究所程金光、周睿等研究组携手在Nature期刊上发表了题为“Superconductivity under pressure in a chromium-based kagome metal”的最新论文。 10月2日,中国科学院物理研究所程金光、周睿等研究组与东京大学Yoshiya Uwatoko合作,Nature期刊发表题为“Bulk high-temperature superconductivity in pressurized tetragonal La2PrNi2O7”的论文。物理所博士后王宁宁、博士生王罡、侯钧和东京大学物性研究所特任研究员沈晓玲(现为上海交通大学博士后)为论文共同一作,物理所程金光研究员、王宁宁博士、周睿研究员以及东京大学物性研究所Yoshiya Uwatoko教授为论文共同通讯作者。程金光,1982年出生,2003年、2005年在哈尔滨工业大学物理系获理学学士、硕士学位。2010年在美国德克萨斯大学奥斯汀分校获博士学位,之后在本校继续进行两年博士后研究。2012年加入物理所。现任中国科学院物理研究所副所长、研究员、博士生导师。周睿,2009年毕业武汉大学物理系,2014年物理所博士毕业。2014~2017法国科学院博士后。2018年1月入职中国科学院物理研究所,任中国科学院特聘研究员,博士生导师。1. 通过掺杂得到纯度更高的晶体,发现杂质相影响超导性质;2. 研究2D钙钛矿相镍酸盐的高压超导性质,提高了镍酸盐材料的高温超导温度。最近的工作中,研究人员发现Ruddlesden–Popper双层(n=2)镍酸盐钙钛矿相La3Ni2O7的高压超导现象,在14GPa高压具有高温超导能力。之后,人们构筑了La3Ni2O7的单晶和多晶样品,都能够在静态高压下呈现超导。但是,由于La3Ni2O7的超导比例较低,因此目前还无法检测发现超导的另一个标志(抗磁性),现在最重要的任务是得到体相的高温超导,以及明确具有高温超导的晶体结构。有鉴于此,中国科学院物理研究所联合东京大学研究团队,在Pr-掺杂La2PrNi2O7多晶样品中发现块体高温超导。发现Pr掺杂能够避免形成其他R-P晶相,实现了接近纯相的双层结构。研究发现,La2PrNi2O7在≈11GPa能够导致正交晶相变为四方晶相,之后进一步增加压力逐渐出现了高温超导。测试发现,在18-20GPa的超导转变温度为Tonset=82.5K,Tzero=60K。在低于75K检测发现对应于体相高温超导的抗磁性信号,在大于15GPa发现显著的超导屏蔽体积分数(97%)。图1. La3−xPrxNi2O7−δ (x= 0, 1)样品结构表征通过中子粉末衍射(NPD, neutron powder diffraction)测试发现La3Ni2O7−δ晶体沿着c轴存在短程层错缺陷(stacking fault),并且通过HAADF-STEM成像表征,发现327和4310和214晶相具有普遍的共生现象。作者认为这些共生的晶相能够影响La3Ni2O7−δ的输运性质。随后,通过对块体晶体的局部无序结构敏感的核四极矩共振(NQR,nuclear quadrupole resonance)表征技术研究晶体的局部无序现象。通过详细的表征发现La3Ni2O7−δ样品中含有较多的327/4310界面和327/214界面,这种327/4310和327/214界面沿着c轴排列,因此通过XRD表征难以发现。因此,作者制备327纯相样品,发现Pr掺杂的La2PrNi2O7−δ样品改善了晶相的纯度。通过溶胶-凝胶法制备了一系列La3−xPrxNi2O7−δ (0≤x≤1)多晶样品,比较La3−xPrxNi2O7−δ和La3Ni2O7−δ的衍射峰,发现Pr掺杂导致(0010)峰(晶体Warren不对称特征峰)变得更强,说明样品的晶化度增强。随后进行晶体结构精修,并且发现Pr3+掺杂导致Ni-O-Ni键角度更小,产生更强的结构畸变,降低Ni-eg和O-2p轨道重叠,这导致电阻增加。STEM表征结果显示Pr掺杂导致327/4310界面基本上消失,327/214界面数量减少。通过NQR表征验证了Pr掺杂的晶体中不含4310晶相。因此,通过STEM和NQR表征和NPD精修结果明确说明,Pr掺杂的La2PrNi2O7晶体具有更好的晶相纯度,而且基本上没有氧缺陷。使用同步辐射XRD测试压力在3.2GPa和56GPa区间内的晶相,发现压力低于10.3GPa,晶体结构为Amam结构,当压力达到11.1GPa,发现产生多个峰,在13.4°的(020)和(200)峰,23.1°的(135)和(315)峰,说明受到压力作用产生了对称性更高的结构。这个对称性更高的结构与I4/mmm Sr3Ti2O7类似。这个高压晶相转变的过程与La3Ni2O7高压产生Fmmm晶体的现象不同。将La2PrNi2O7样品放置于立方六面砧CAC(cubic anvil cell)中,测试静态高压下的电阻ρ(T)。在0GPa时样品表现为半导体性质,随着压力增加,在整个温度区间内,电阻ρ(T)都是逐渐单调减少,到5 GPa后随着温度变化电阻不再逐渐减少。当压力达到8GPa,发现当低于21.4K温度,ρ(T)显著降低。随着压力进一步增加,这种ρ(T)降低现象更加明显,这说明产生超导性。在压力为12GPa,ρ(T)能够在4.4K达到接近0的电阻(Tonset=66.4K)。当压力为15GPa,Tzero快速增加至40K,Tonset达到78.2K。在两阶段的多腔体装置中测试更高压力的电阻(20GPa),发现≤15GPa样品的ρ(T)变化规律与上述测试相符,而且在压力≥16GPa发现样品表现金属性。La2PrNi2O7样品在各种已知的镍酸盐超导材料中得到创纪录的超导温度(Tzero≈60K),比La3Ni2O7−δ的超导温度高20K。测试结果说明消除327/4310界面有助于改善材料的超导性质。测试La2PrNi2O7样品的磁化率,并且与FeSe单晶对比。发现FeSe在9GPa产生明显的超导抗磁性,与以往结果一致。测试发现La2PrNi2O7样品在15GPa产生明显的抗磁性信号,而且发现La2PrNi2O7的抗磁性信号在65K开始出现(15GPa),随着压力增加抗磁性信号增强。计算结果显示La2PrNi2O7超导屏蔽体积比(fsc)达到≈100%。测试结果验证La2PrNi2O7具有体相高温超导。 测试La2PrNi2O7的T-P相图,发现Tonset由21.4K(8GPa)增加至80.4K(20GPa),在19-20GPa,Tzero达到最大值(60K)。La2PrNi2O7最好的超导性质为Tonset=82.5K和Tzero=60K,这个超导性质比La3Ni2O7−δ更好。测试结果说明,结构转变是双层镍酸盐产生超导的前体,通过层间的3dz2轨道之间耦合作用增强高压下的超导性质。Wang, N., Wang, G., Shen, X. et al. Bulk high-temperature superconductivity in pressurized tetragonal La2PrNi2O7. Nature (2024). DOI: 10.1038/s41586-024-07996-8https://www.nature.com/articles/s41586-024-07996-8