西湖大学,Nature Catalysis!
纳米技术
2024-10-09

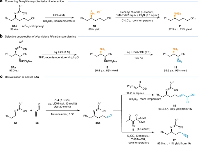
西湖大学邓力教授和罗济生副研究员在Nature Catalysis上发表了题为”Organocatalytic asymmetric α-C–H functionalization of alkyl amines”的研究论文。对广泛存在的烷基胺进行α-C-H键立体选择性官能团化为手性有机胺的合成提供非常好的方法。但是由于α-C-H化学键的惰性导致难以活化,这是个巨大的挑战。有鉴于此,作者发展了N-亚芳基保护的烷基胺活化为碳负离子,用于不对称共轭加成乙腈Mannich反应。作者提出,N-亚芳基官能团能够在手性铵阳离子催化剂的帮助下活化烷基胺α-C-H键脱质子,N-亚芳基官能团作为N保护基能够方便的去除。基于这个想法,研究手性铵阳离子催化剂对N-亚芳基保护的有机胺α-C-H官能团化转化,合成α,α-双烷基胺。 首先,以丙烯醛(2a)和各种N-亚芳基-2-苯乙胺(1)作为反应物,当使用手性铵催化剂C-1,在KOH溶液和室温下反应12h,未发现产物生成。而且,将硝基替代为缺电子官能团,氰基(1b)、三氟甲基(1c)、甲氧基羰基(1d)同样没有产物生成。当使用修饰缺电子取代基的N-(4-硝基苯基)亚甲基胺作为反应物,包括卤(1e,f)、三氟甲基(1g)、硝基(1h),同样没有反应活性(1e-h)。测试了一些常用的N保护基团,包括N-二苯基亚甲基(1i)和N-氟亚基(1j),无法活化α-C-H化学键进行脱质子。根据文献报道,胺、醛和三甲基甲硅烷基氰化物以一锅法制备α-亚氨基腈。因此,作者认为腈基有可能拉电子效应增强α-C-H键的酸性,进而α-亚氨基腈可能适合作为烷基胺α-C-H的脱质子化活化剂。作者发现这种反应性还未曾被研究。 作者发现2-苯乙胺和4-硝基苯甲醛生成的N-(4-硝基苯基)亚甲基胺(1A)能够与丙烯醛(2a)和C-1催化剂在甲苯/KOH溶液反应12h,反应能够生成6Aa加合物,但是该反应的转化率仅为10%。作者发现,当加入苯酚衍生物能够先祖提高反应的转化率。加入20mol%的3,5-二甲基苯酚(A1)能够将反应转化率提高至68%,而且立体选择性从93:7提高为95:5 e.r.。因此,进一步的调节碱和溶剂,转化率增加至77%,而且立体选择性保持。对手性有机胺催化剂的三联苯基官能团进行微调。发现C-4手性催化剂在1 h内完成反应,以95:5 e.r.选择性和93:7的区域选择性(r.r.)生成(S)-6Aa。当使用CD-4催化剂,能够以92:8 e.r.立体选择性和94:6的区域选择性生成(R)-6Aa,但是转化率仅能达到45%。之后进一步优化CD-4催化剂的结构得到CD-5催化剂,得到了更好的转化率(81%,95:5 e.r.)。 烯醛的兼容性。在优化的反应条件,研究反应对烯醛亲电试剂的α-官能团化反应兼容。该反应对许多N-(4-硝基苯基)氰亚甲基胺(1A-U)兼容,能够在0 ℃反应生成93:7~96:4 e.r.立体选择性和72:28~>95:5 r.r.区域选择性,产率达到54~78%。该反应兼容含有供电子或者拉电子取代基的芳基/杂芳基(6Ba-6Ha),对许多官能团兼容,包括醚基(6la-6ka)、缩醛(6La)、烯烃(6Ma)、炔基(6Na-Oa)、溴(6Pa)。反应能够将含氟有机胺生成手性的氟化有机胺(6Qa-Ua),立体选择性达到92:8~96:4 e.r.,区域选择性>95:5 r.r.,产率达到58-76%。反应对于没有修饰官能团的挑战性烷基胺(1V)能够以93:7 e.r.立体选择性和76:24 r.r.区域选择性生成对应的手性胺(6Va),虽然该反应的产率比较低(35%)。对于β取代基修饰的烯醛(2)兼容,能够生成含有两个连续立体中心的手性有机胺,立体选择性达到92:8~94:6 e.r.和90:10~>95:5 d.r.,区域选择性达到93:7~>95:5 r.r.,产率达到45~69%。反应对甲基(6Ab, 6Hb, 6Ib)、乙基(6Ac)、苯甲氧基甲基(6Ad)等β-取代的烯醛化合物兼容。 醛亚胺的反应。手性邻二胺是有机合成领域中非常重要的结构单元,合成不对称邻二胺的方法非常罕见。作者发现通过活化烷基胺的α-C-H化学键并且立体选择性和对映选择性Mannich反应是一个比较好的策略。醛亚胺的反应条件优化。基于这个反应的设计,对有机胺1A与醛亚胺4a的反应进行优化,发现当使用CD-10配体,能够促进生成手性二胺5Aa,区域选择性达到>95:5 r.r.,立体选择性达到>95:5 d.r.和92:8 e.r.,虽然产率仅为69%。因此再次优化反应条件,通过反应添加2,6-二甲基-4-氯苯酚(A2)能够加快反应速率,而且实现了不降低区域选择性和非对映体选择性的时候,提高产物的对映选择性(95:5 e.r.)。在这个优化条件,尝试其他配体,CD-5和CD-11,发现CD-11具有更好的立体选择性。 醛亚胺的反应兼容。在优化的反应条件研究底物兼容,以CD-11作为配体,N-芳基亚甲基保护的烷基胺能够与一系列醛亚胺1较好的反应,生成相应的手性二胺5,区域选择性达到>95:5 r.r.,立体选择性达到>95:5 d.r.和90:10~98:2 e.r.,产率达到71~92%。该反应具有官能团容忍性,兼容的官能团包括噻吩(5Ha)、醚(5la-ka)、缩醛(5La)、烯烃(5Ma)、炔基(5Wa)。醛亚胺4的兼容性研究发现,对卤(5Ab-d, 5Af-g, 5Al-m, 5kb)、烷氧基(5Ae, 5Ai, 5Ve)、烷基(5Ah, 5Aj, 5Am, 5Wj)、羰基(5Ak)等官能团耐受,而且对含有萘(5An)或噻吩(5Ao)官能团兼容。因此,这个方法能够生成多种多样的手性二胺。克级合成。实验发现1A和丙烯醛2a之间克级量合成,选择性没有降低。发现6Aa的N-(4-硝基苯)亚甲基官能团能够在室温条件非常方便的去掉,生成手性有机胺10的盐酸盐。5Aa在室温使用HCl处理能够去除N-(4-硝基苯)亚甲基官能团,同时保留氨基甲酸酯。而且,手性α-二胺能够后续转化为其他修饰官能团的α,α-双烷基胺。 反应机理。基于理论计算提出有可能的反应机理。C-4′与有机胺(1)之间的多位点弱相互作用起到起到有机胺α-C-H键脱质子的关键作用。手性铵溴化物催化剂C-4与苯酚锂原位转化为酚铵C-4′,随后能够与保护基团修饰的有机胺(1)之间通过两个弱键相互作用(分别为π-π堆叠相互作用、CN…π相互作用)。苯酚氧化物与铵的α-C-H键之间的氢键相互作用导致有机胺发生脱质子反应(TS-I)。非常重要的一点在于,这个机理模型发现C-4′与α-氨基碳阴离子和丙烯醛分子之间产生氢键相互作用网络,导致反应物更加接近,促进形成不对称C-C键(TS-II),而且催化剂更好的利用其立体结构,促进位点选择性和立体选择性的方式生成C-C化学键。 控制实验。通过设计反应物的方式验证弱键相互作用在催化反应中的关键作用,当设计了N-(对硝基苯基)三氟甲基亚甲基胺(1k)作为反应物,发现没有催化反应活性。1k分子的对照反应结果说明CN基团与催化剂之间的相互作用在脱质子化中起到重要作用。Deng, T., Han, XL., Yu, Y. et al. Organocatalytic asymmetric α-C–H functionalization of alkyl amines. Nat Catal (2024).DOI: 10.1038/s41929-024-01230-4https://www.nature.com/articles/s41929-024-01230-4