电子科大邓龙江院士/彭波教授团队Nat. Commun.:二维多铁研究新进展!
纳米人
2024-10-10
长久以来,科学界一直致力于探索能够同时兼具铁磁序和铁电性的多铁性材料,从而实现铁电性与磁性之间的相互调控,以期应用于超高能效、超低功耗存储器和逻辑器件领域。然而,在单相材料中,这两种序参量往往呈现出互斥的状态,使得新型单相多铁性材料的开发成为一项亟待解决的重大挑战。近年来,二维磁体与铁电体领域的突破性进展为在二维极限下探索多铁性提供了新的契机,这不仅有望深化我们对磁电耦合机制的理解,还可能促进高集成度先进自旋电子器件的发展。
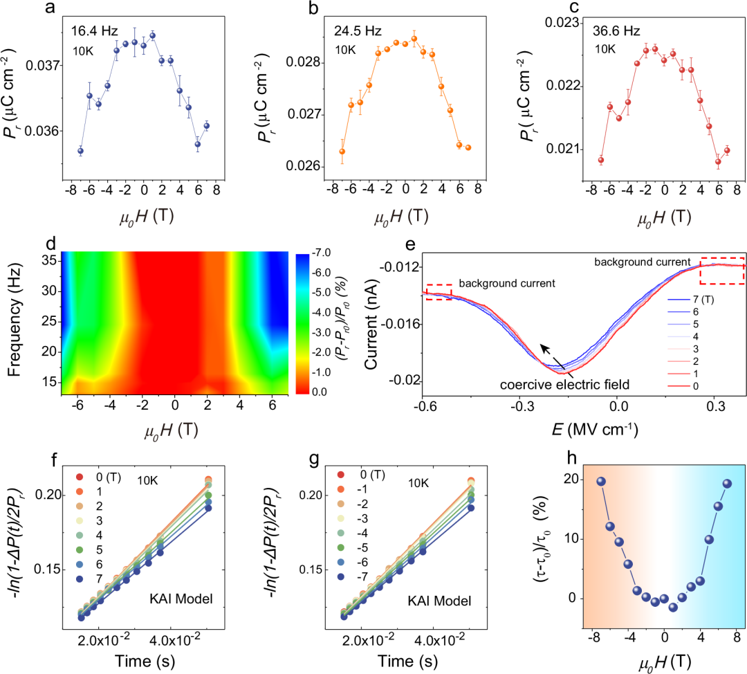
然而,二维多铁性的研究并非坦途,仍面临诸多关键科学难题。首要难题在于,二维极限下多铁性的鉴定异常艰“难”,其表征高度依赖于诸如磁光拉曼、磁圆二色性、线二色性和二次谐波等光学方法。但是,在存在非共线和反铁磁序的情况下,全光学表征方法无法对多层或单层多铁性做出判断。尽管先前有研究报道称,利用二次谐波(SHG)和线性二色性(LD)等光学手段,在双层乃至单层NiI2材料中疑似发现了II型多铁。但理论上 LD和SHG现象可在多种磁性材料中仅由磁序引起的反演对称性破缺而产生,而无需依赖铁电特性。在我们的先前的报道中,在少层NiI2中观察到的SHG和LD光学畴与磁畴的一一对应,揭示了这些光学现象源于磁序而非铁电序(Nature, 619, E40-E43 (2023))。迄今为止,在二维原子层的极限下,二维范德华多铁性尚未得到直接证实。尤为重要的是,作为多铁性核心特征的磁电互控现象,在二维极限下仍是一个未解之谜。因此,在二维极限下实现铁磁与铁电单相共存仍然是一个巨大的挑战,其磁电耦合机制已成为当前凝聚态物理研究领域亟待解决的重大难题。 为解决上述问题,电子科技大学邓龙江院士/彭波教授团队、严鹏教授团队以及中国人民大学季威教授团队在“Nature Communications”期刊上发表了题为“Coexistence of ferroelectricity and antiferroelectricity in 2D van der Waals multiferroic”的最新研究成果。研究团队在三层NiI2材料中进行了系统的磁光电联合测量,发现三层NiI2具有由螺旋磁序诱导的面外铁电极化。更令人瞩目的是,研究首次清晰地观察到了铁电相与反铁电相之间的演变。通过密度泛函理论(DFT)计算和原子自旋模型模拟,揭示了三层NiI2中铁电与反铁电共存现象的物理机制,其根源在于该体系中存在左右手性简并的螺旋磁序。进一步地,本研究还通过面内和面外磁场调控,深入探究了铁电极化的翻转动力学过程,直接观测到了II类多铁的典型特征——磁控电现象。这项工作不仅为在单原子层或少数原子层极限下探索多铁性物理开辟了全新的视角,也为开发新一代超高能效超低功耗的计算芯片探索出颠覆性的发展方向。(1)发明了微纳尺度磁-光-电联合时空成像测量系统,解决了二维多铁性鉴定“难”的技术瓶颈。在实验中首次在三层NiI2中观测到面外的铁电/反铁电共存、铁磁/铁电共存现象,充分证实了其多铁性。 (2)揭示了二维磁性/铁电性/反铁电性三者共存耦合的机制。基于Kitaev模型和自旋流模型,阐明了层内非共线磁序诱导面外铁电性的物理机制,揭示了层内铁电与反铁电共存耦合的机制。(3)揭示了电场/磁场调控铁电与反铁电性的动力学规律,实现了本征强磁电耦合与调控。在实验上,首次观测到二维极限下的磁控电现象,在三层NiI2中观测到了面外和面内磁场对铁电极化的各向异性调控效应,这对于严格证明二维多铁性及阐明磁电耦合机制具有重要意义,为磁电子器件的创新设计提供了理论基础和技术途径。

图4. 三层NiI2中的磁控电现象及其机制
作者介绍
彭波,电子科技大学,教授/博导。2005年毕业于兰州大学化学系(本科);2010年毕业于中国科学院理化技术研究所(博士)。2010年6月至2015年5月,在新加坡南洋理工大学(Qihua Xiong)、新加坡国立大学(Kian Ping Loh)从事博士后研究工作。2015年6月入职电子科技大学,在邓龙江院士带领下,面向国家重大需求,在国际上率先开展了二维多铁材料基础理论和工程应用研究,在二维多铁材料磁电耦合机制、磁电互控技术等方面开展研究10余年,突破了二维多铁鉴定“难”、本征磁电耦合“难”、磁电互控“难”等关键科学难题。近五年以第一/通讯作者发表论文20余篇,包括Nature、Sci. Adv.、Nat. Commun.、Adv. Mater.、Nano Lett.等,其中Nano Lett.、ACS Nano封面论文2篇。受邀在Nano Res.等期刊发表特邀论文6篇。在 “PIERS”、“中美华人纳米论坛” 等国内外会议上做特邀报告40余次。