纳米人

这个“简单”的化学反应,也能发Science?

纳米技术
2024-11-06


           图片         

解决的关键科学问题和主要研究内容
1. 研究氢氧化反应的动力学;
2. 发现氧覆盖度对反应动力学的显著影响;
3. 通过理论计算和实验验证的方式,阐明Pd催化剂氢氧化催化反应的动力学。
          
异相催化剂中,加快反应速率的原子结构有时必须在高温高压条件才能够形成,这导致难以在低温超高真空方法观测这种结构。

有鉴于此,哥廷根大学Alec M. Wodtke等提出了速率分辨的动力学测试方法,能够在高温和比较宽的表面浓度测试Pd催化剂的氢氧化反应动力学。表征结果说明氢氧化反应与氧覆盖度和台阶位点的密度之间具有复杂的关系,并且通过DFT和过渡态理论进行解释。这种理论计算模型方法含有在台阶位点的三个稳定状态的氧原子之间协同作用。作者发现,两个氧原子能够诱导第三个氧原子在附近结合,因此产生了比单独氧原子显著更高的反应活性。这项研究清楚的表示了工作状态的催化剂如何增强反应活性的例子。    

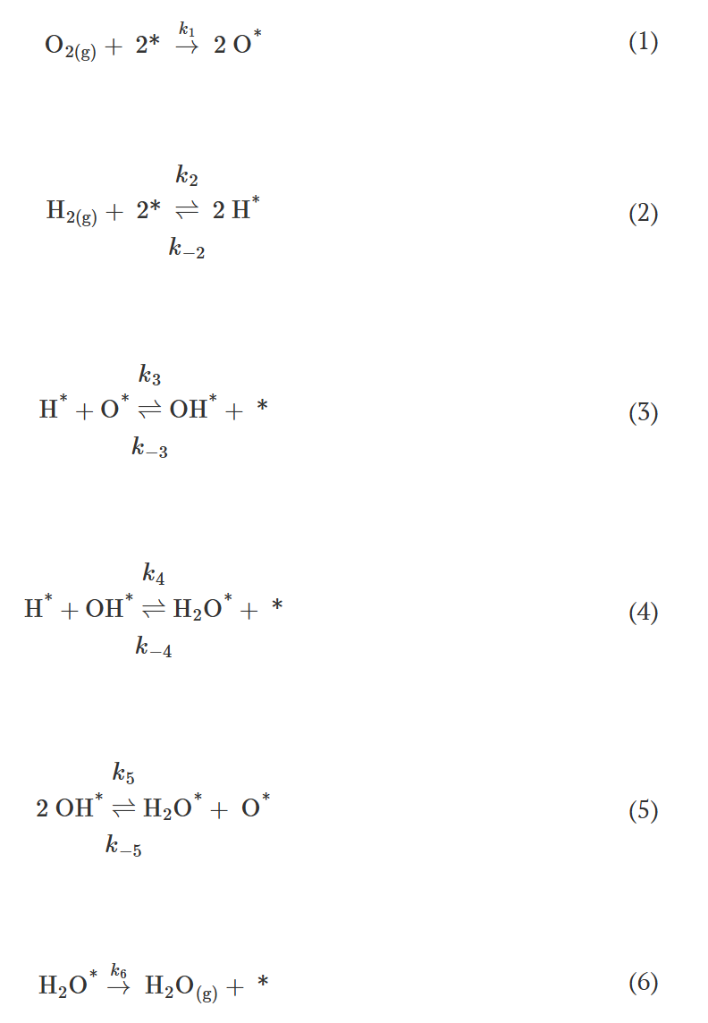
氢氧化反应的背景
氢氧化反应的方程式为
图片
其中,H2(g)和O2(g)首先通过解离吸附的方式发生活化,随后吸附物质结合生成热力学稳定的H2O分子。
图片

根据目前的相关研究,通常认为(3)是反应的决速步。但是根据人们提出的结果,该步骤的活化能不一致,且差距较大(0.3eV~0.8eV)。另外,人们在计算发现表面(3)反应生成*OH的能垒达到1eV。计算结果认为,在没有缺陷的Pd(111),(5)反应过程的能垒基本为零,这个结果说明反应与催化剂的实验环境有关,比如催化剂的台阶位点密度。除此之外,人们对于(4)和(5)反应在氢氧化反应中的重要性并不清楚。    
                        
实验结果
图片
图1. Pd催化氢氧化反应的动力学与氧覆盖度、台阶位点密度、反应温度的关系
            
通过设计实验,能够得到速率分辨动力学得到的生成水分子的反应速率(如图1所示)。设计的实验使用脉冲分子束和泄露阀用于控制反应物的输入,通过高功率的短脉冲激光进行用于脱附产物的电离。分别测试了氧富集/氧缺少的条件以及Pd台阶密度较低/较高的反应情况。实验表征结果表明氢氧化反应的过程非常复杂。在氧富集的情况,台阶密度较高的催化剂表面反应速率更快;在氧缺少的情况,台阶密度较低的催化剂表面反应速率更加缓慢,而且对于台阶位点的密度并不是特别有关。    

当氧富集的时候,该反应是二级反应;氧缺乏的时候,该反应是一级反应。根据实验测试的结果,推测二阶反应速率常数。在氧富集的情况,作者认为H2分子与氧之间发生A+A型二级反应。在氧缺乏的情况,作者设计实验的条件是H-覆盖的催化剂表面与O2脉冲反应的方式,并且根据一级反应方程,计算反应速率常数。
            
实验结果与DFT结果的比较
            
图片
图2. Pd(332)晶面的O*结合能的理论预测

实验测试的结果表明,反应的决速步随着氧覆盖度的改变而不同。氧富集的情况,Pd(111)晶面的实验测试反应活化能为0.44±0.02eV,Pd(332)晶面的测试活化能为0.50±0.0eV,这个结果与DFT理论计算结果相符(0.43eV, 0.40eV);在氧缺乏的情况,实验测试Pd(111)晶面的活化能为0.80±0.01eV,Pd(332)晶面的活化能为0.80±0.01eV,与DFT计算得到的反应活化能类似(0.93eV, 0.93eV)。   
 
决速步骤变化的现象说明,当氧覆盖度增加,生成*OH的能垒降低。这与单独氧原子的催化行为并不相同。作者通过DFT理论计算,说明随着氧覆盖度的改变,如何影响反应决速步骤。

对于Pd(332)晶面上的单独氧原子的情况,O*容易结合在fcc空位(记作O*up-step),但是Pd(111)晶面,O*在fcc空位(111)晶面台阶的稳定性较差(记作O*terr),吸附(111)台阶位点(记作O*down-step)的稳定性低于O*terr或O*up-step但是当相邻两个氧原子的情况下,O*在(111)晶面的O*down-step结构具有稳定性。

氧原子覆盖度增加产生的协同相互作用对应于在Pd台阶表面形成“zigzag”氧原子修饰结构,并且这种情况导致O*down-step位点上生成OH*的能垒显著降低(0.64eV,0.60eV),比O*up-step位点的能垒低(0.93eV, 0.93eV)。因此,在氧富集的表面,通过结合在Pd台阶位点的氧原子之间协同作用,OH转化反应的能垒降低,并且成为反应决速步骤。
            
反应机理和动力学模型
                
图片
图3. Pd催化氢氧化反应路径
            
图片
图4. Pd(332)晶面的氢氧化反应生成水的实验和理论动力学对比

基于DFT计算和振动频率,得到氧原子协同作用下的反应机理,以及多个氧原子协同作用的TST反应速率常数。理论计算得到的TST模型预测的反应动力学与实验测试结果类似。在氧富集的情况,O*down-step位点生成OH*的速率基本可以忽略,说明O*down-step位点生成水的反应速率非常缓慢。而且研究结果表明,在氧缺乏的条件下,O*down-step位点生成OH*的过程基本上对反应速率没有作用。

通过速率控制程度DRC(degree-of-rate-control)研究发现,氧富集的情况,O*down-step位点的水分子生成速率对于OH*生成速率非常敏感,对台阶位点的OH*转化速率非常敏感。在氧缺乏的情况,生成水的反应速率只对O*Up-step位点生成OH*的速率敏感。    

通过有效速率常数能够对模型以及各种不同实验条件进行比较。在缺少氧的情况,模型能够重现一级动力学,并且给出Keff与氢覆盖度之间的线性关系。在氧比较多的情况,模型能够给出二阶反应keff与氧覆盖度之间特殊的变化规律。Pd(332)晶面的速率常数比实验结果给出的氧覆盖度相比偏高,虽然这些非常有限的差别,但是在随后优化模型后能够观测台阶和氧覆盖度之间的关系。
图片
图5. 反应速率常数(keff)与氧覆盖度之间的关系
                        
参考文献
Michael Schwarzer et al., Cooperative adsorbate binding catalyzes high-temperature hydrogen oxidation on palladium. Science386,511-516(2024)
DOI: 10.1126/science.adk1334
https://www.science.org/doi/10.1126/science.adk1334



版权声明:

本平台根据相关科技期刊文献、教材以及网站编译整理的内容,仅用于对相关科学作品的介绍、评论以及课堂教学或科学研究,不得作为商业用途。

万言堂

纳米人 见微知著